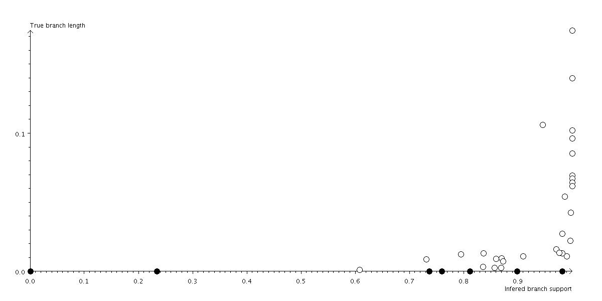
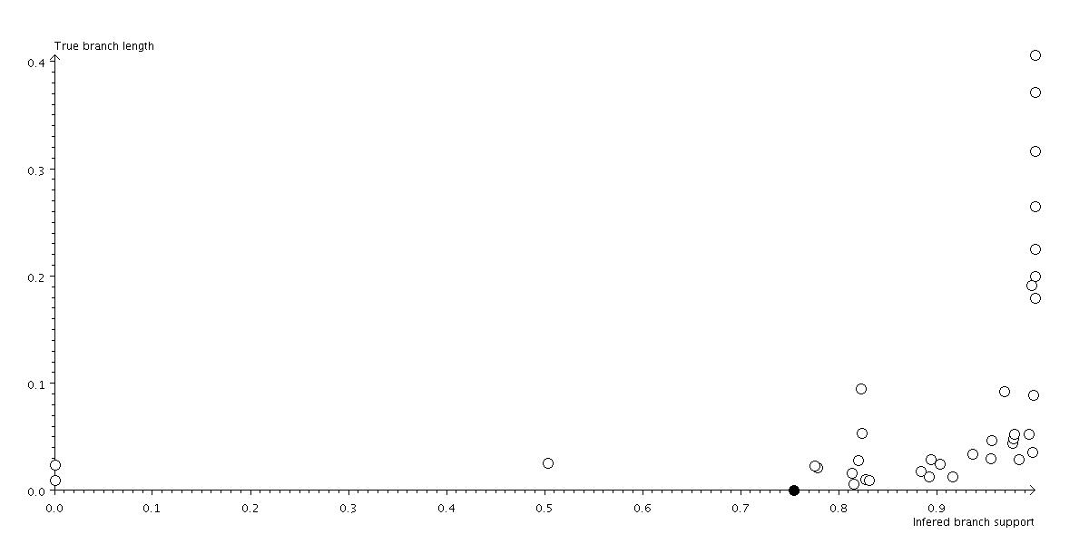
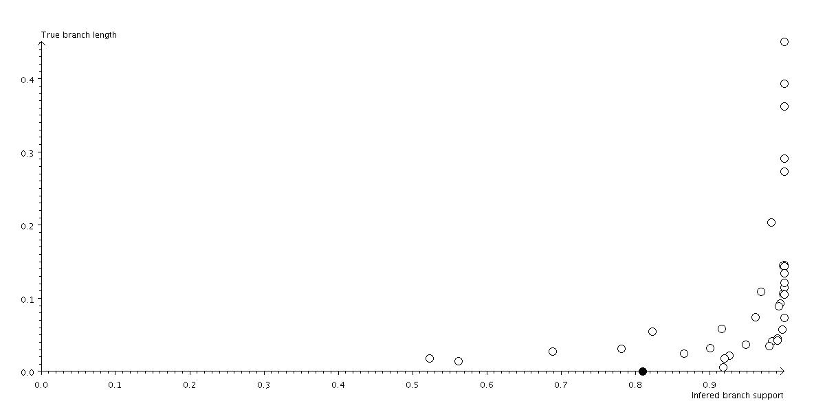
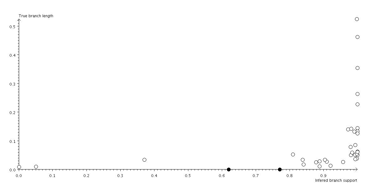
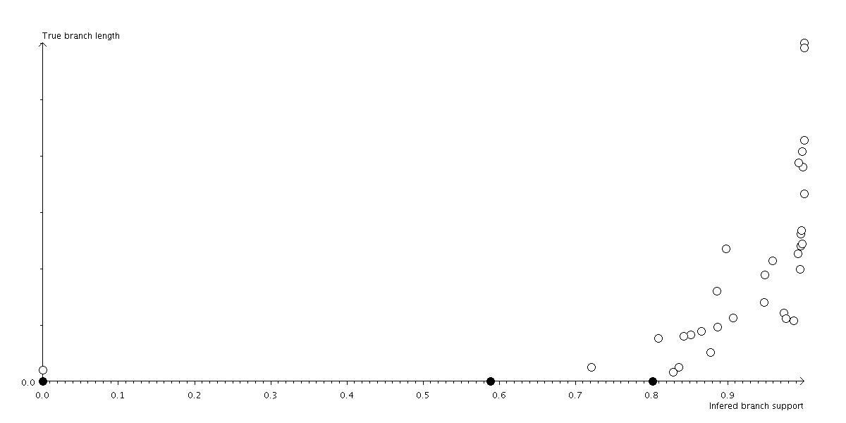
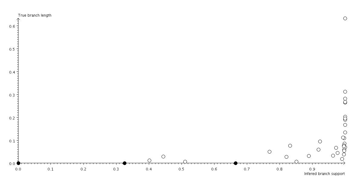
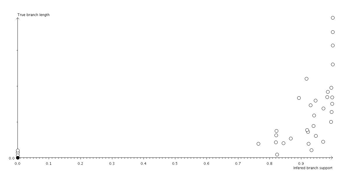
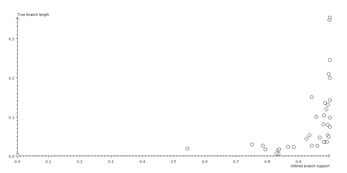
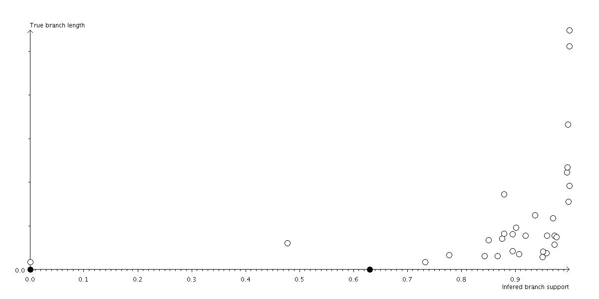
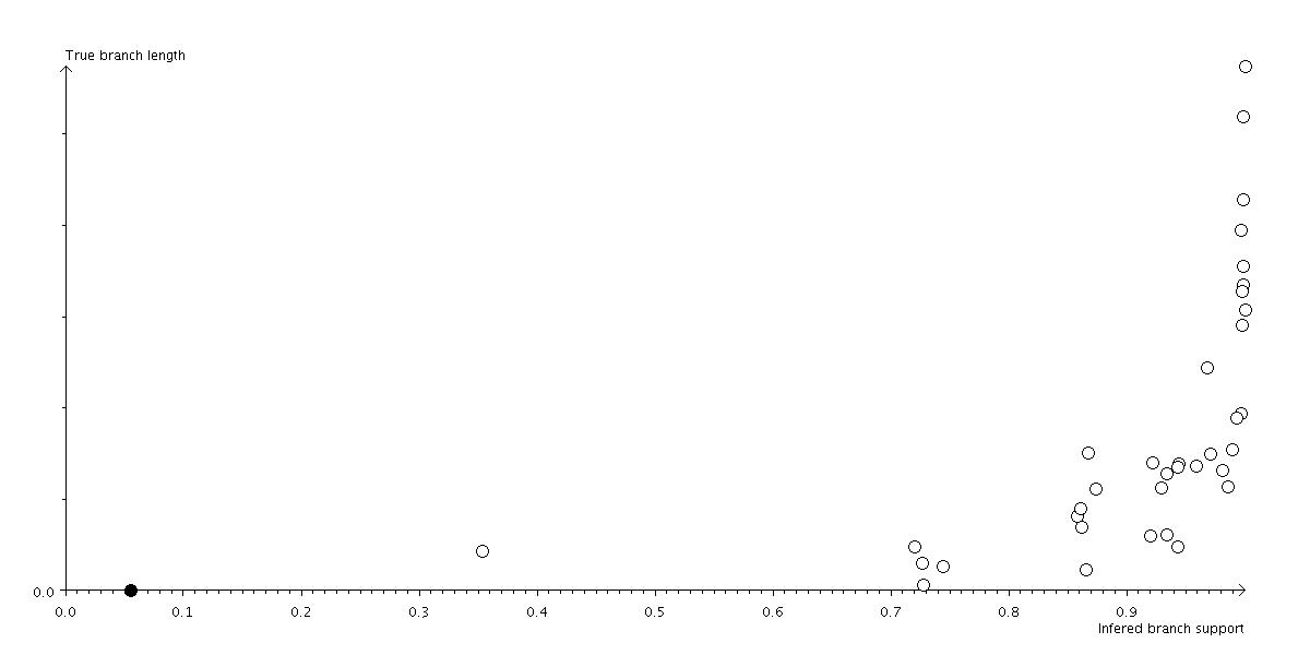
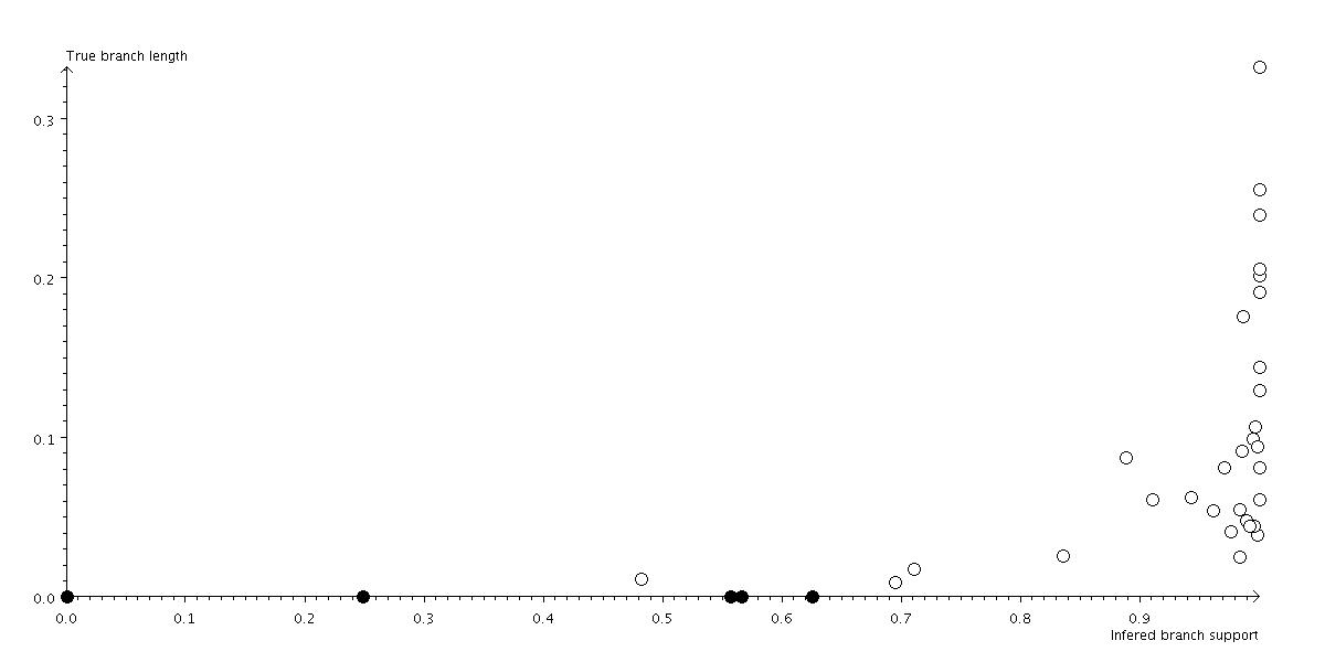
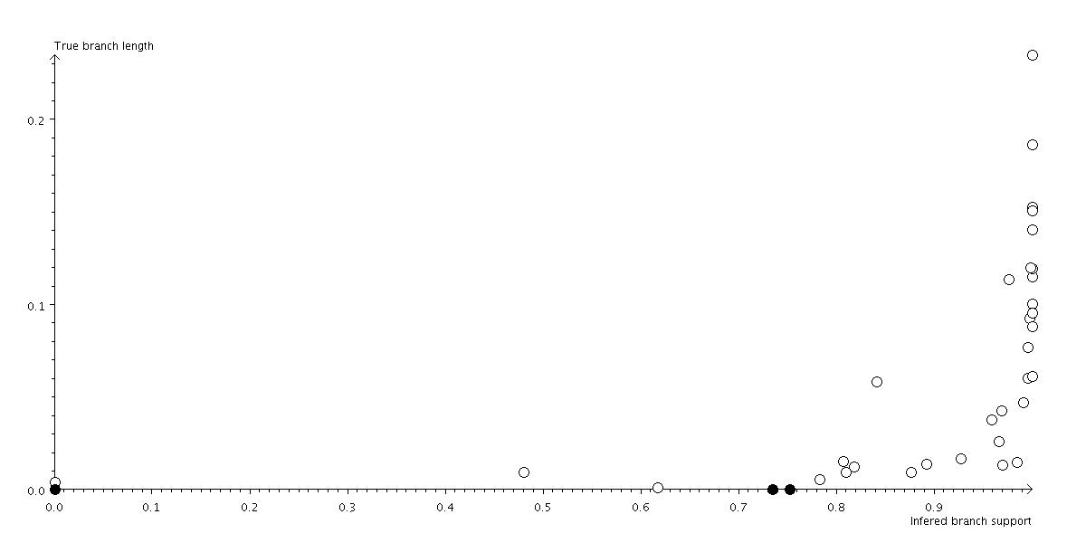
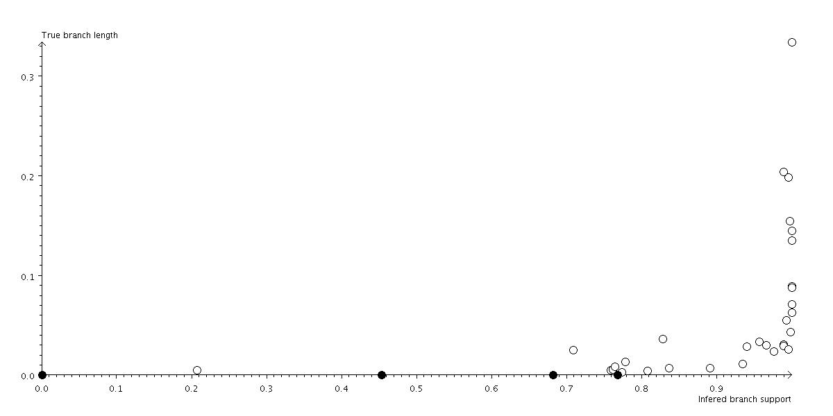
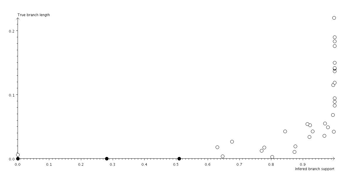
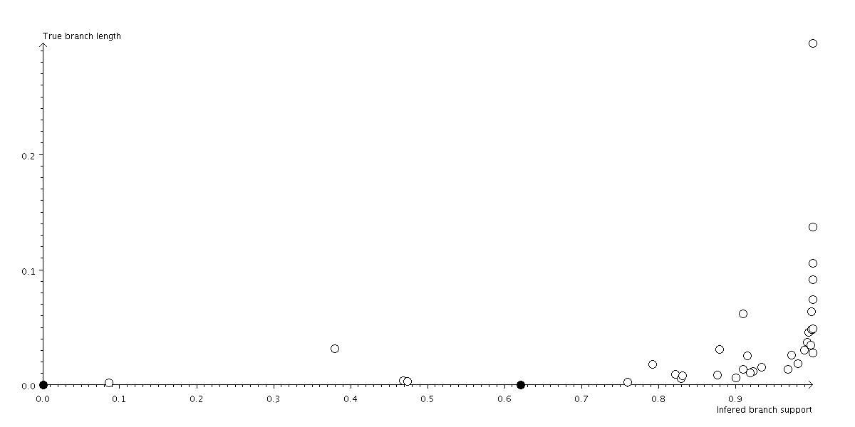
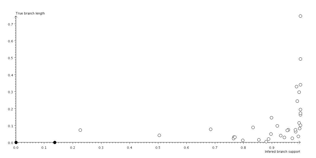
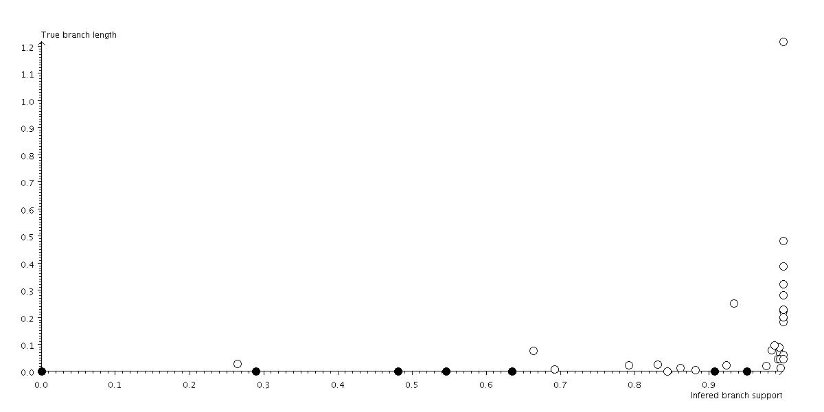
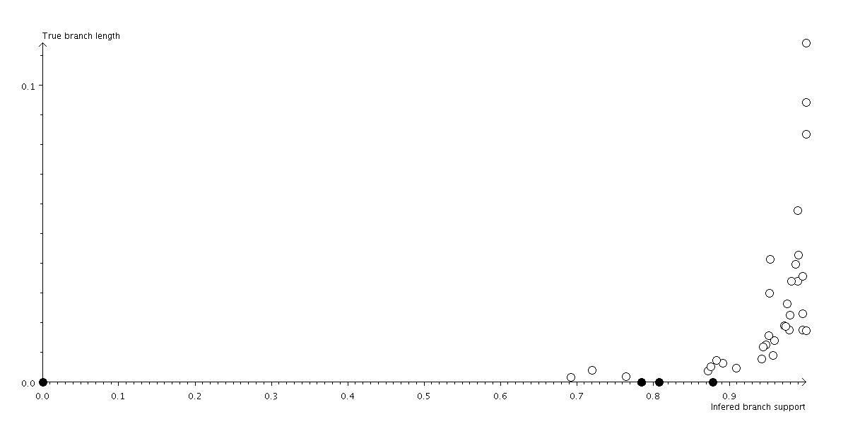
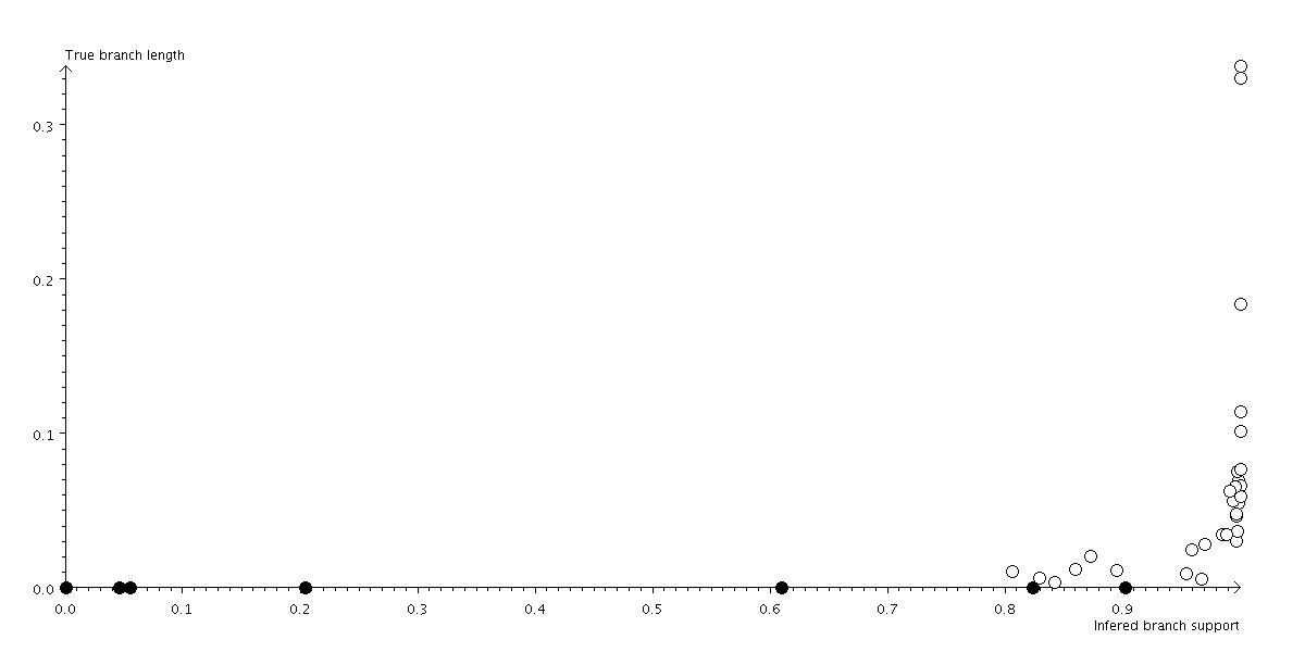
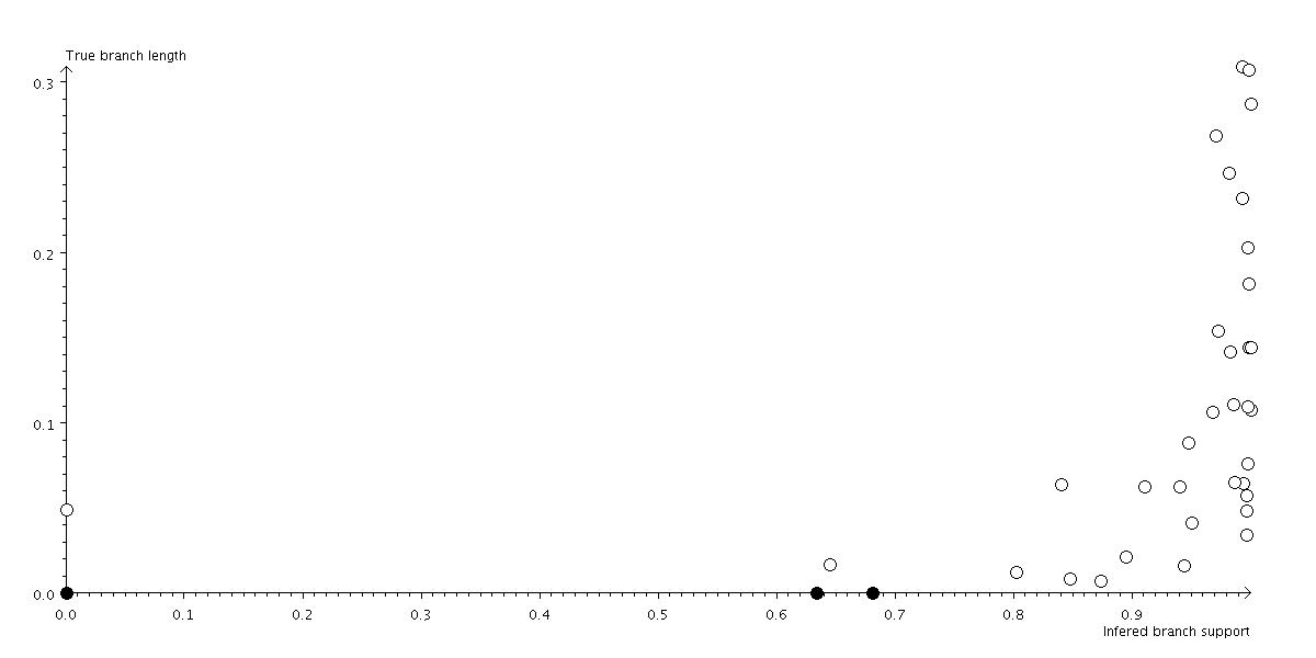
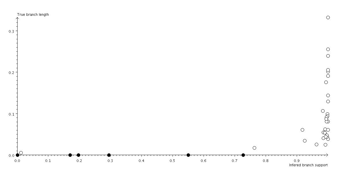
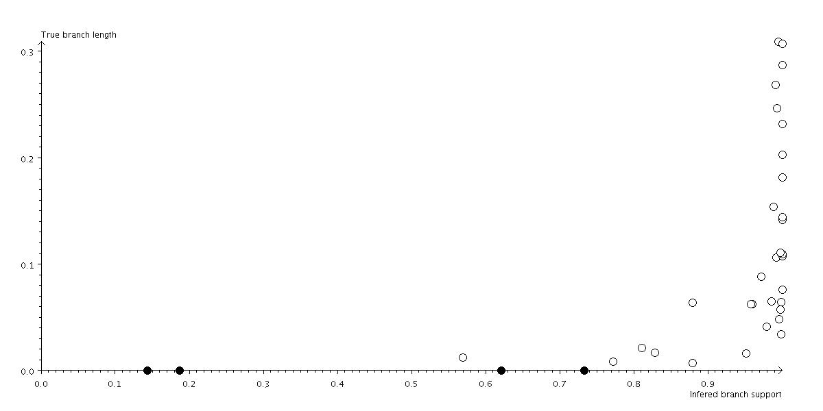
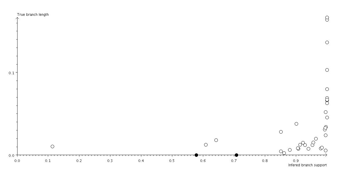
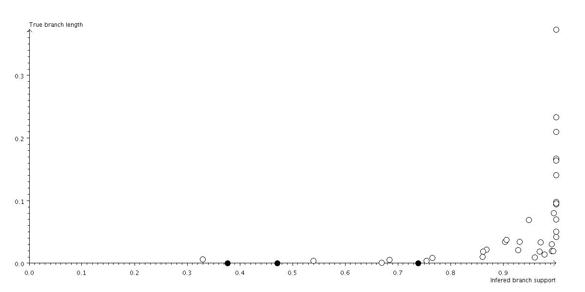
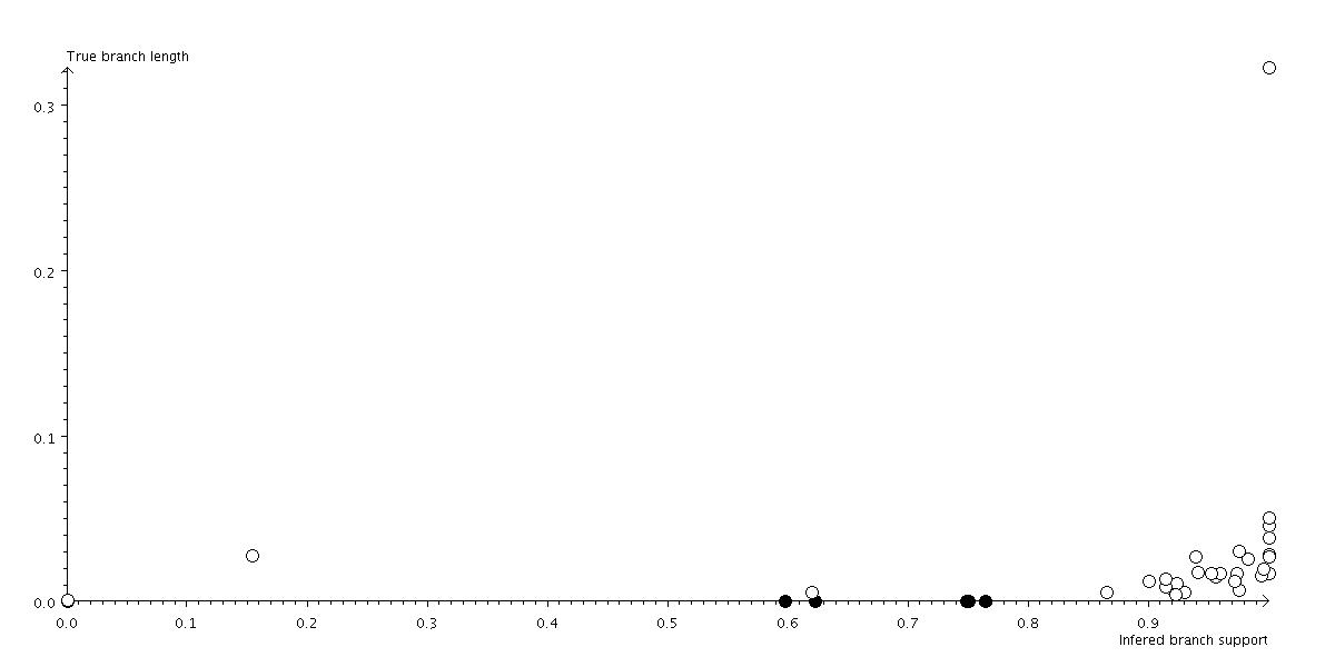
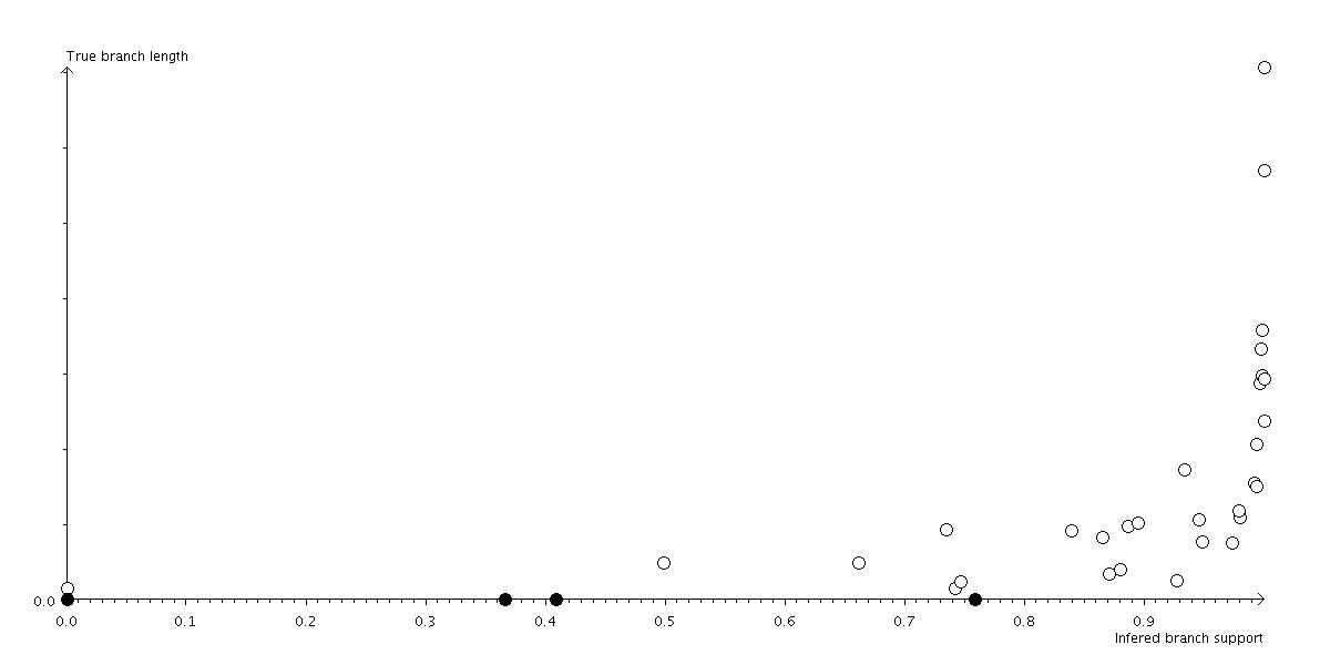
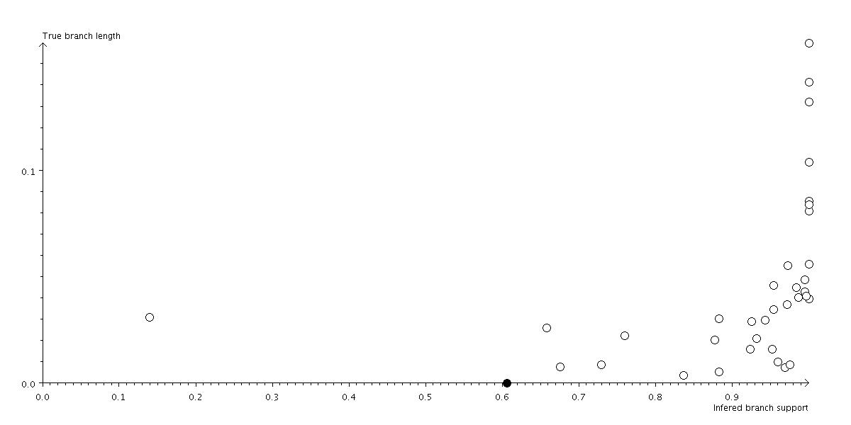
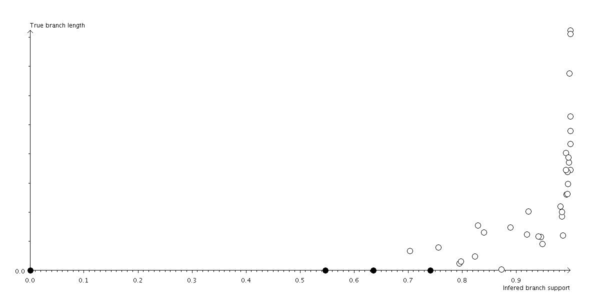
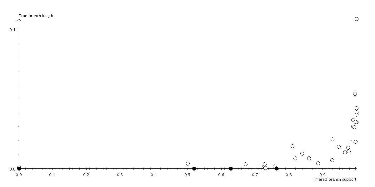
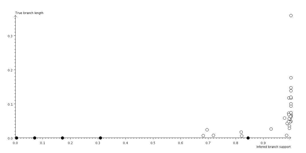
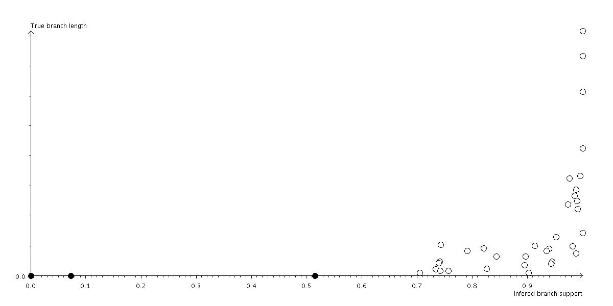
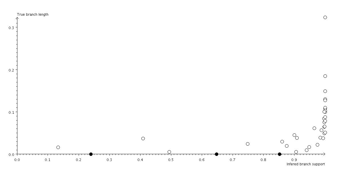
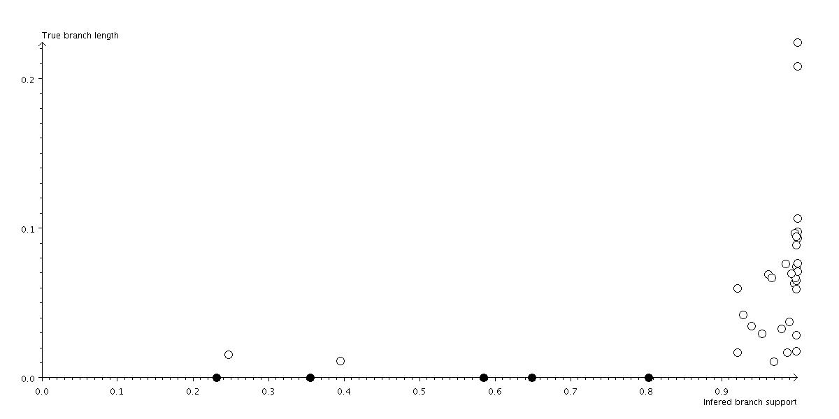
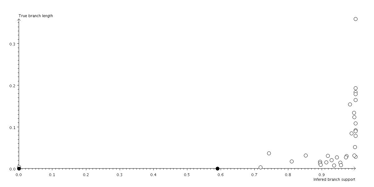
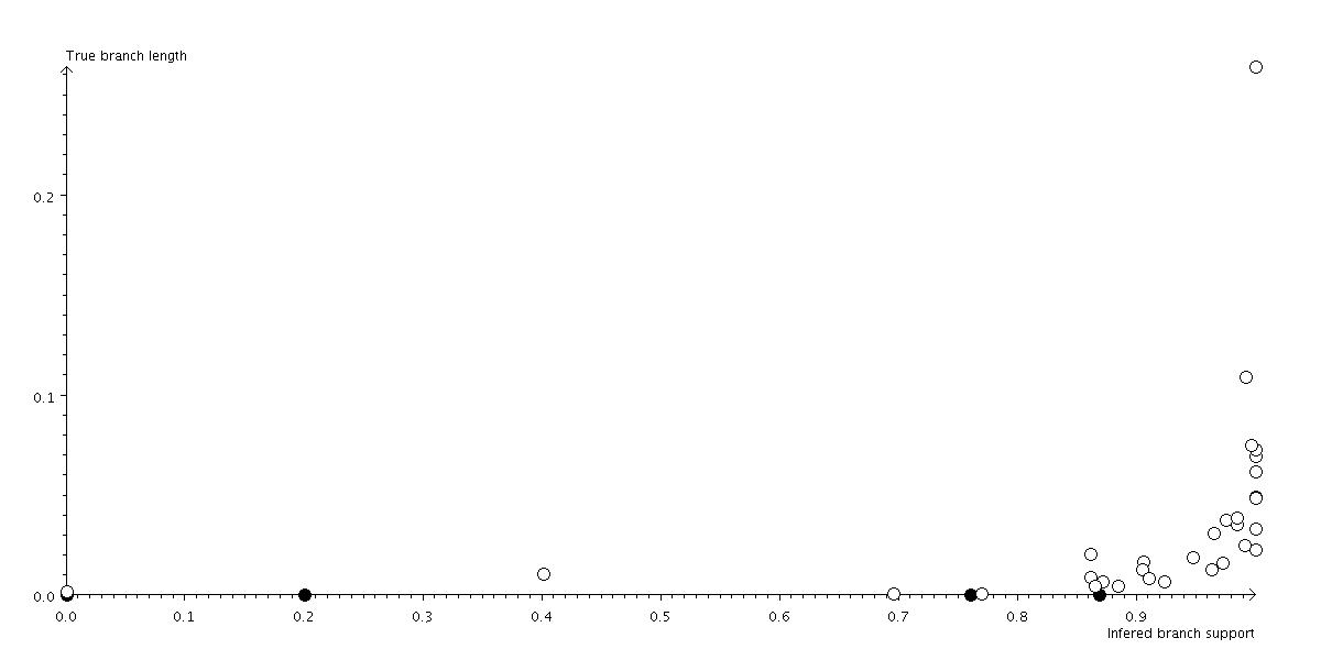
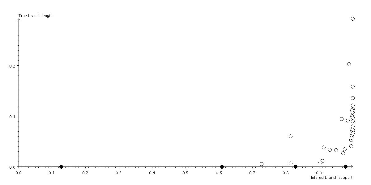
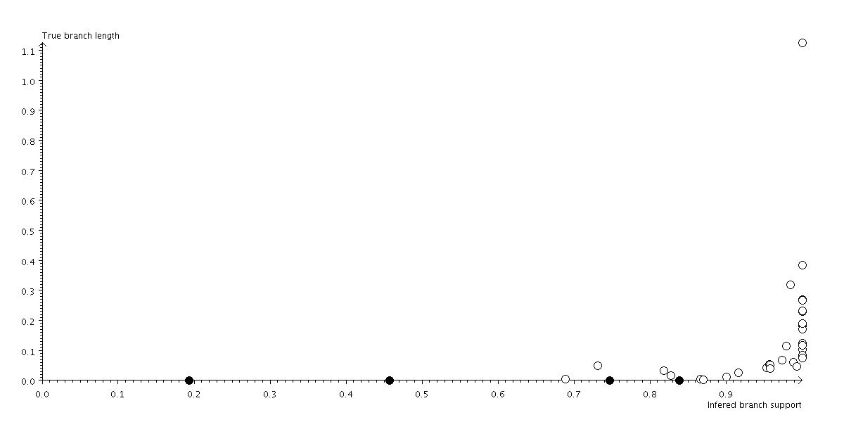
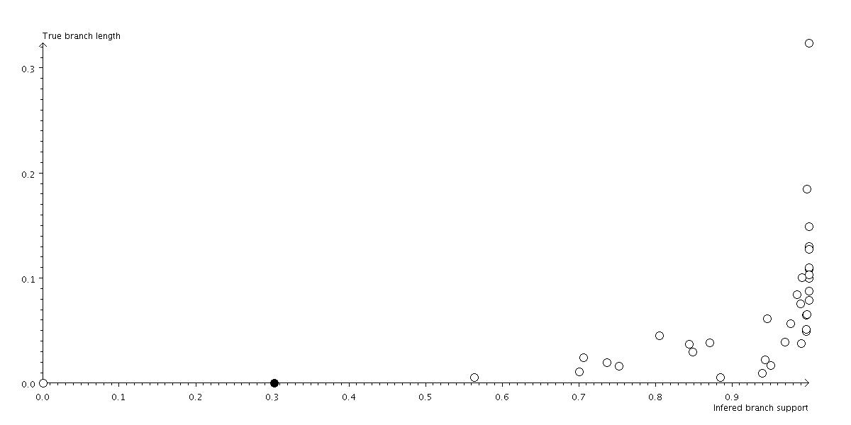
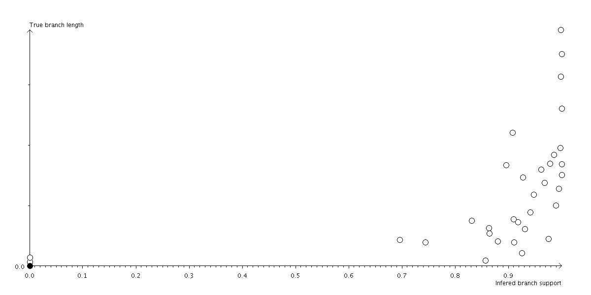
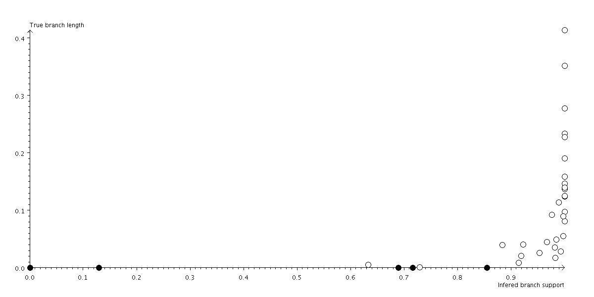
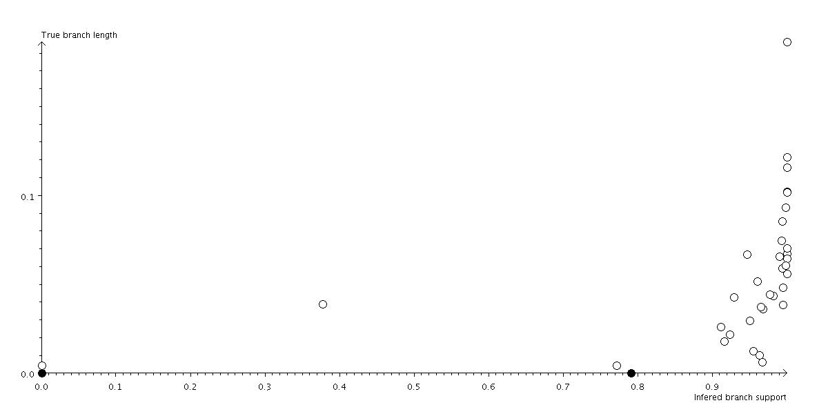
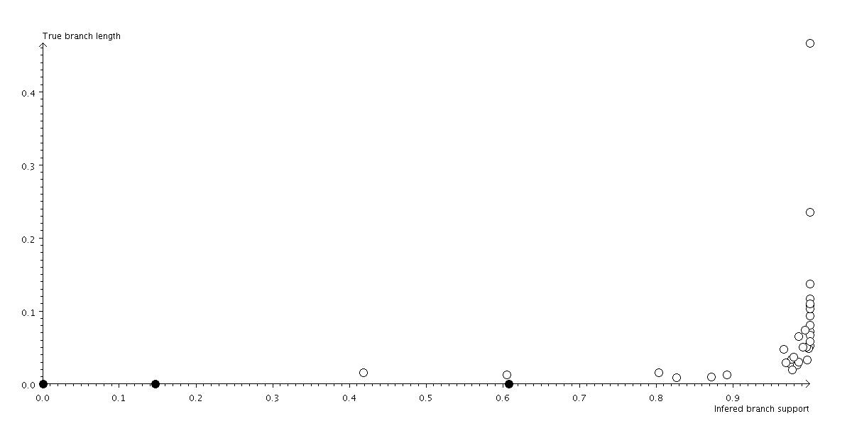
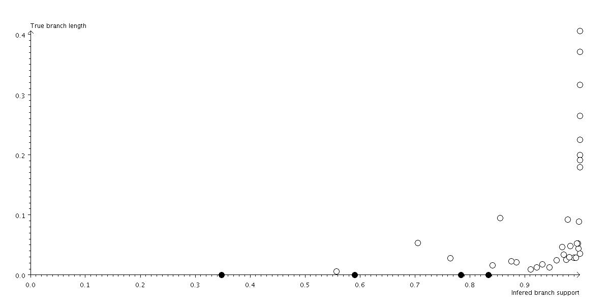
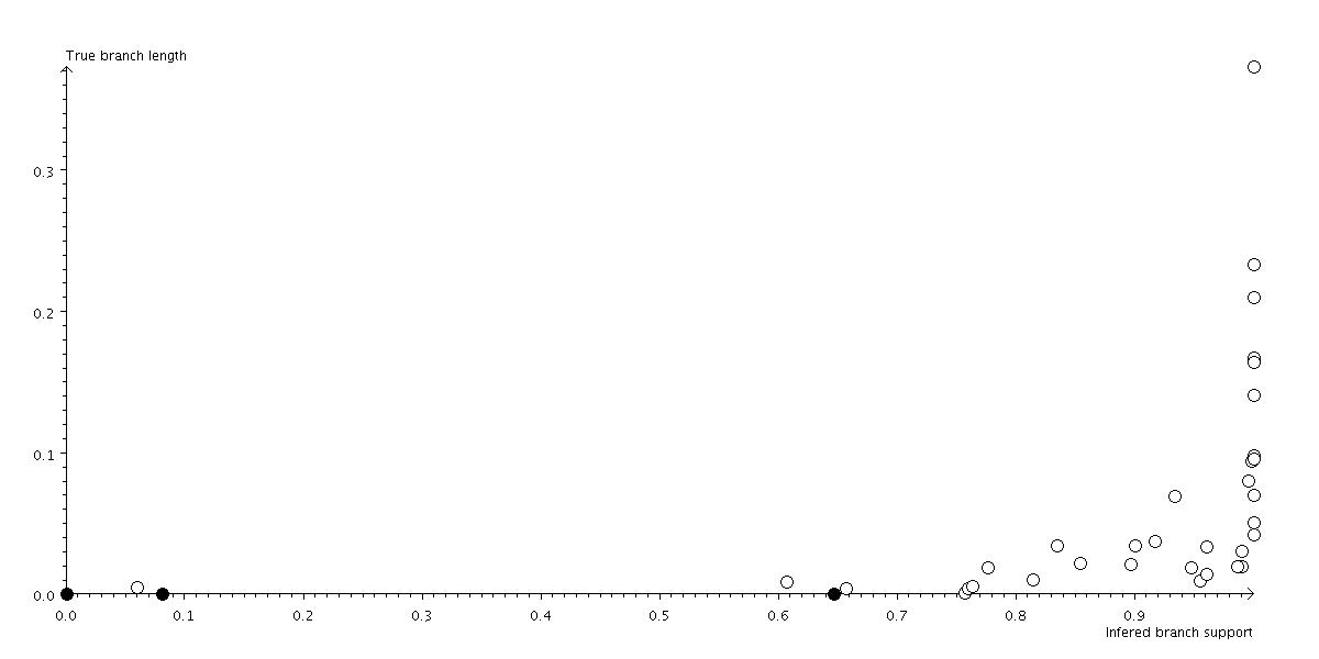
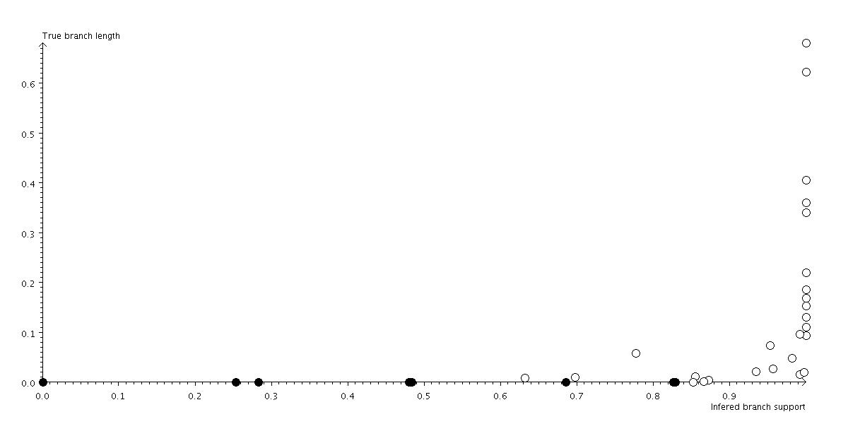
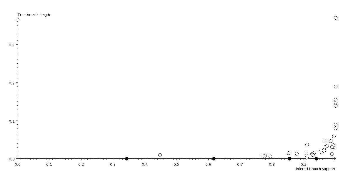
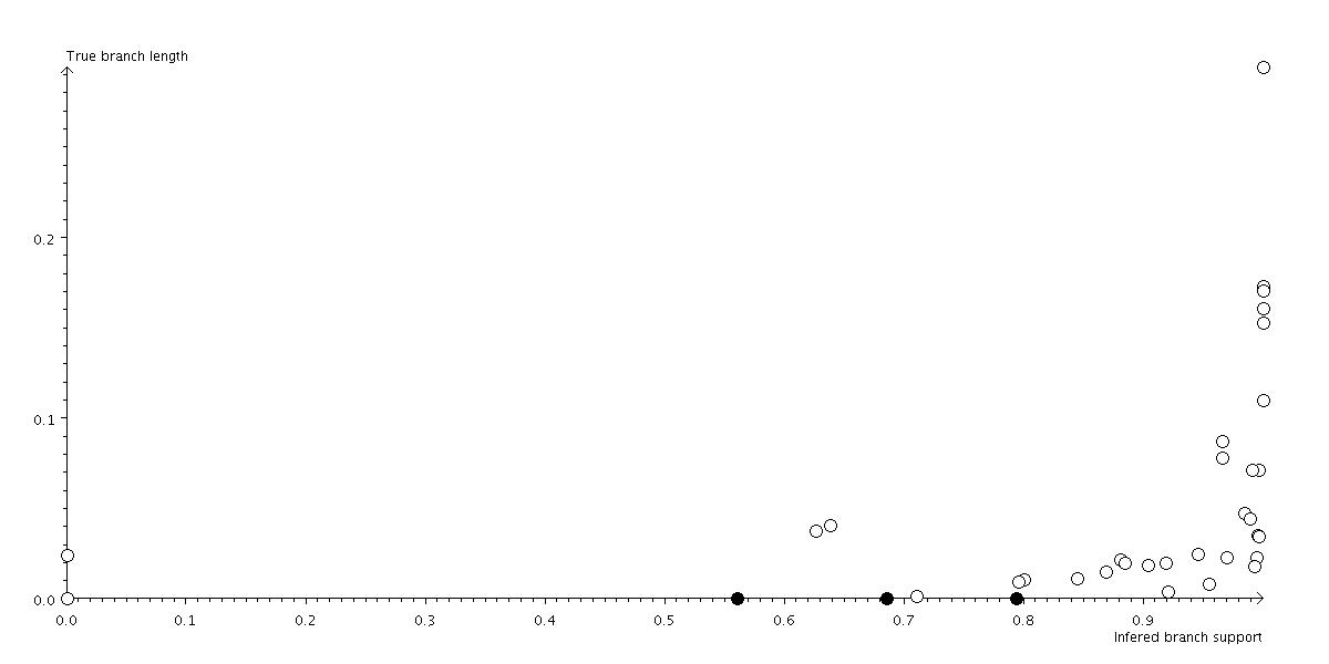
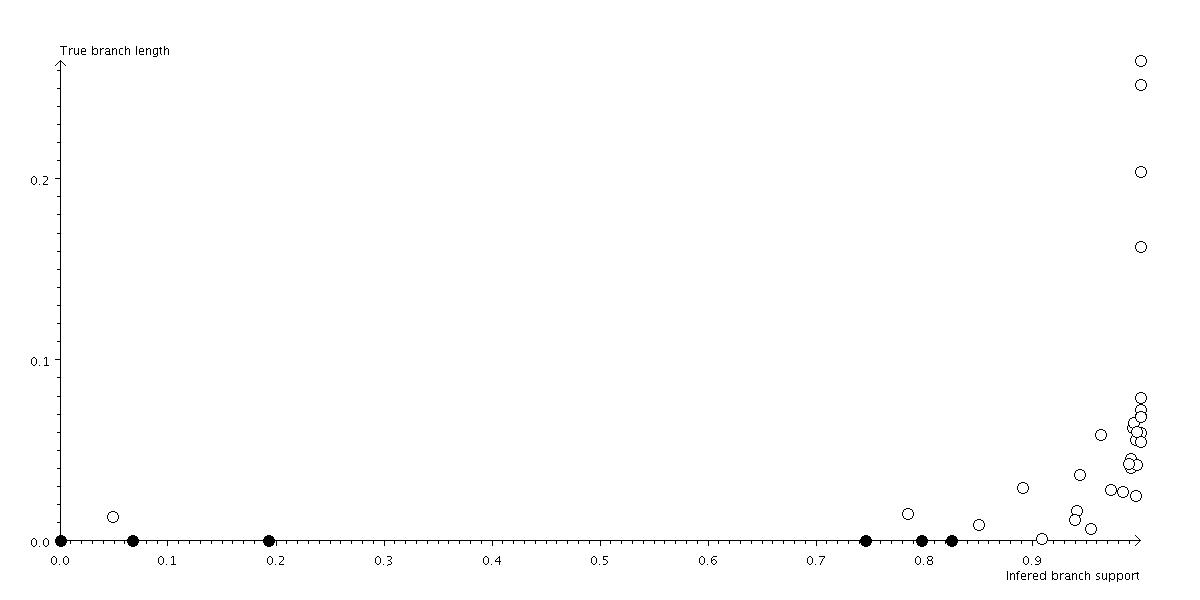
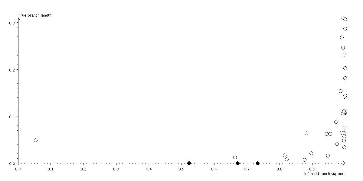
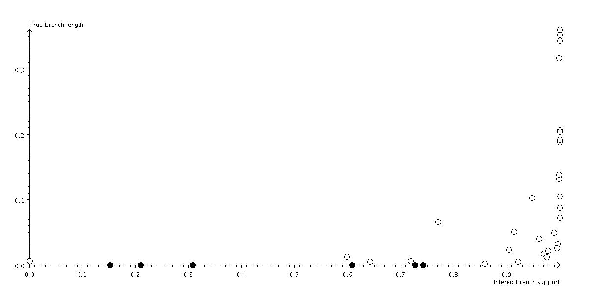
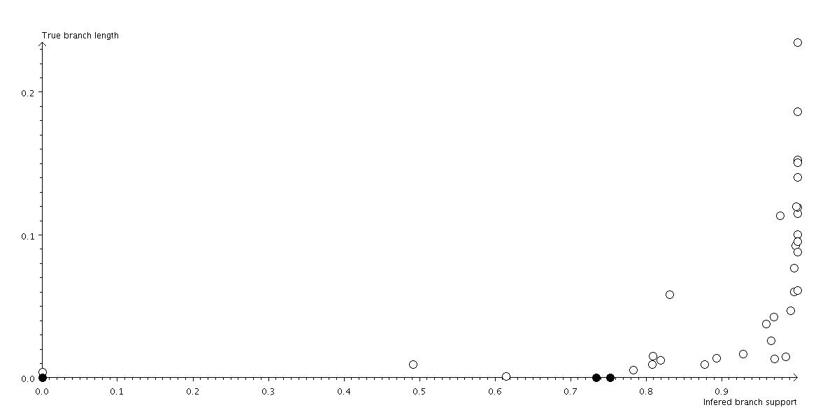
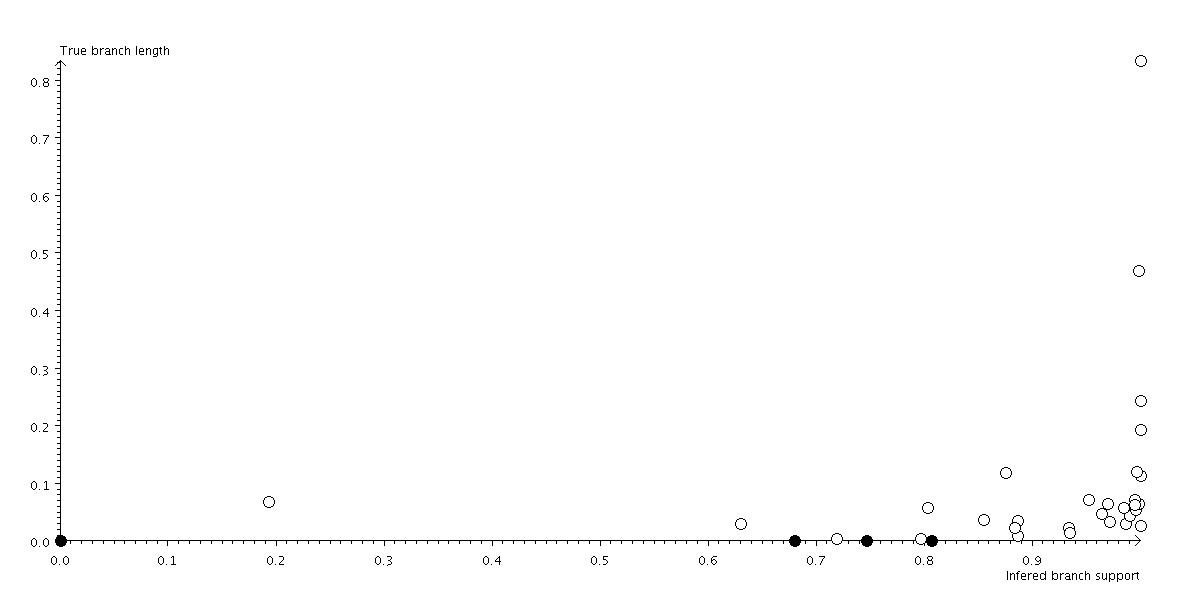
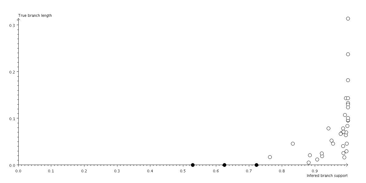
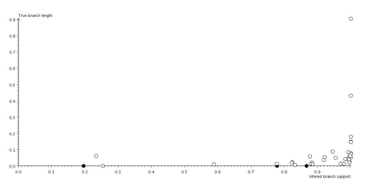
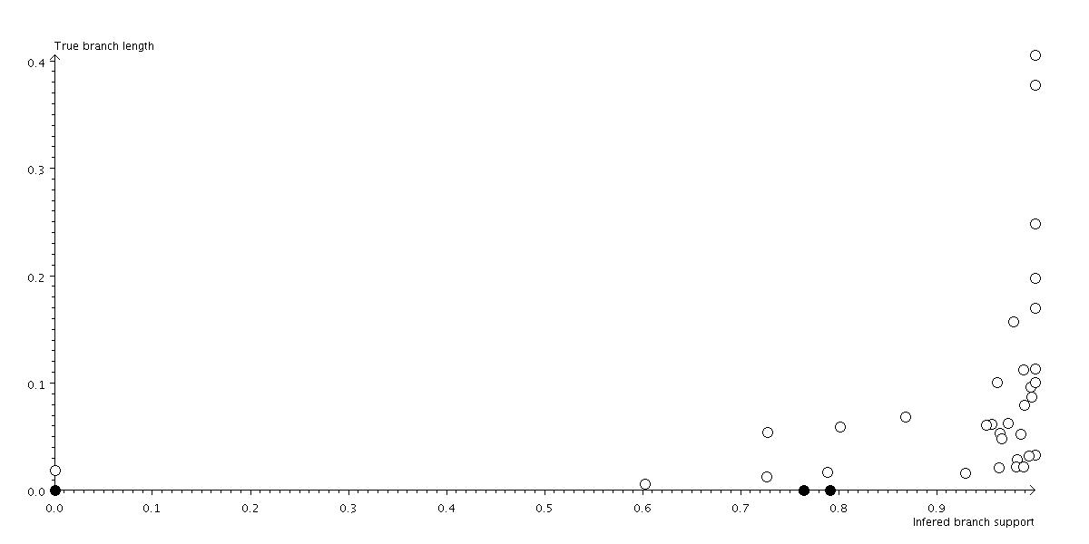
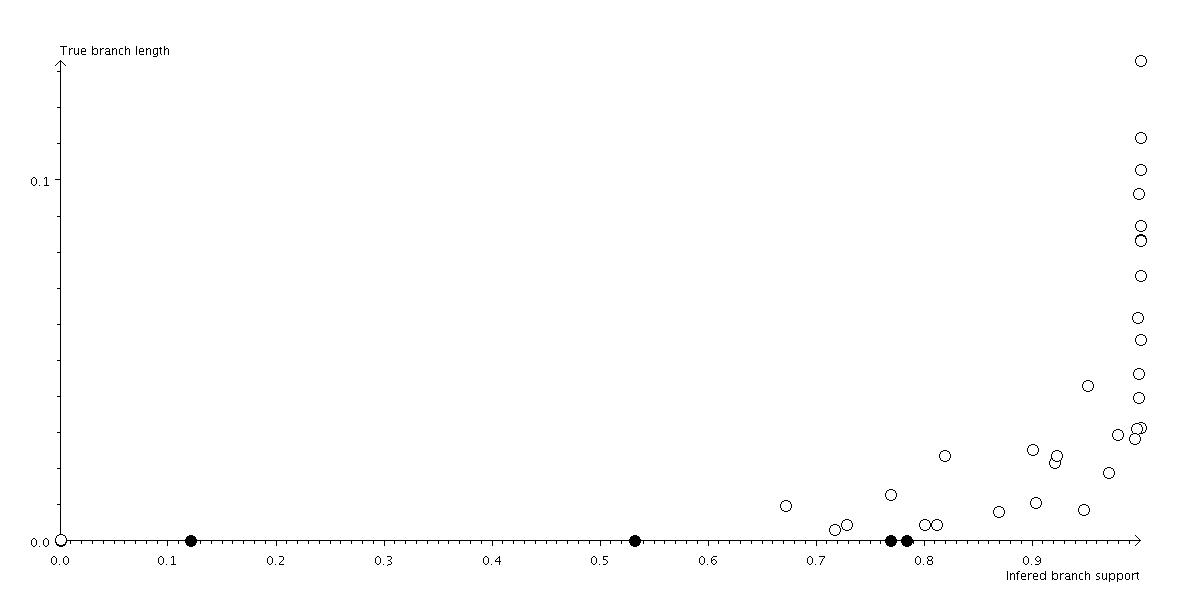
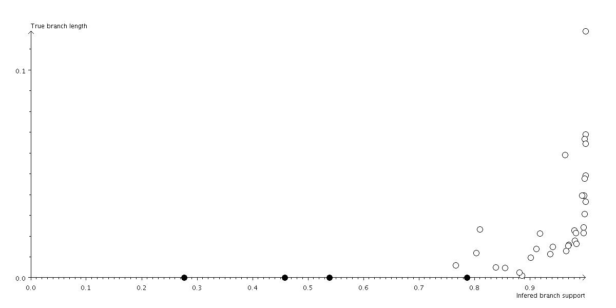
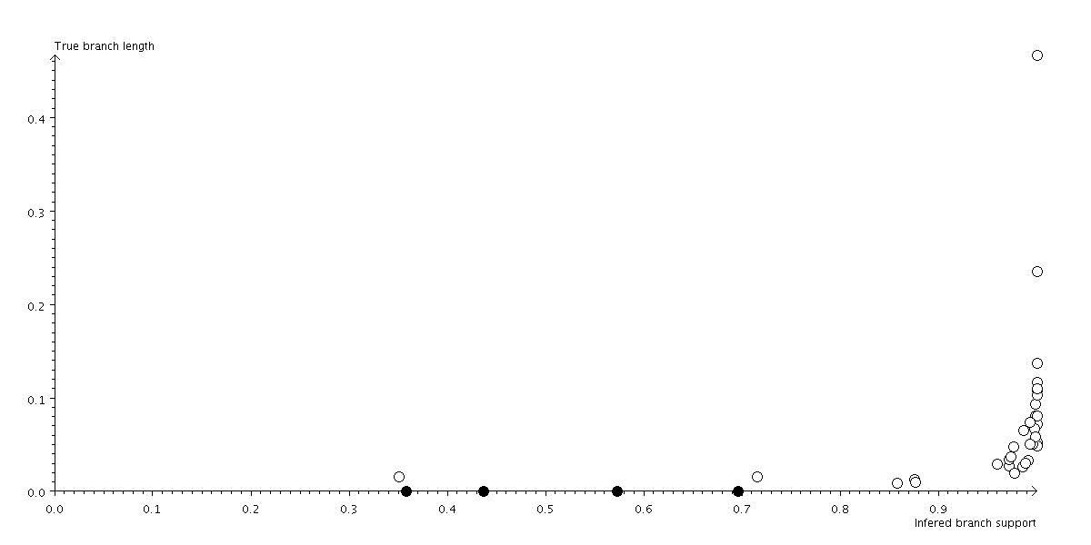
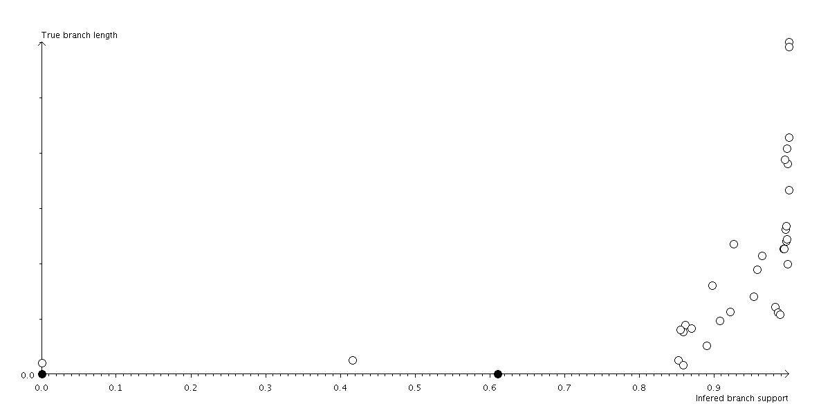
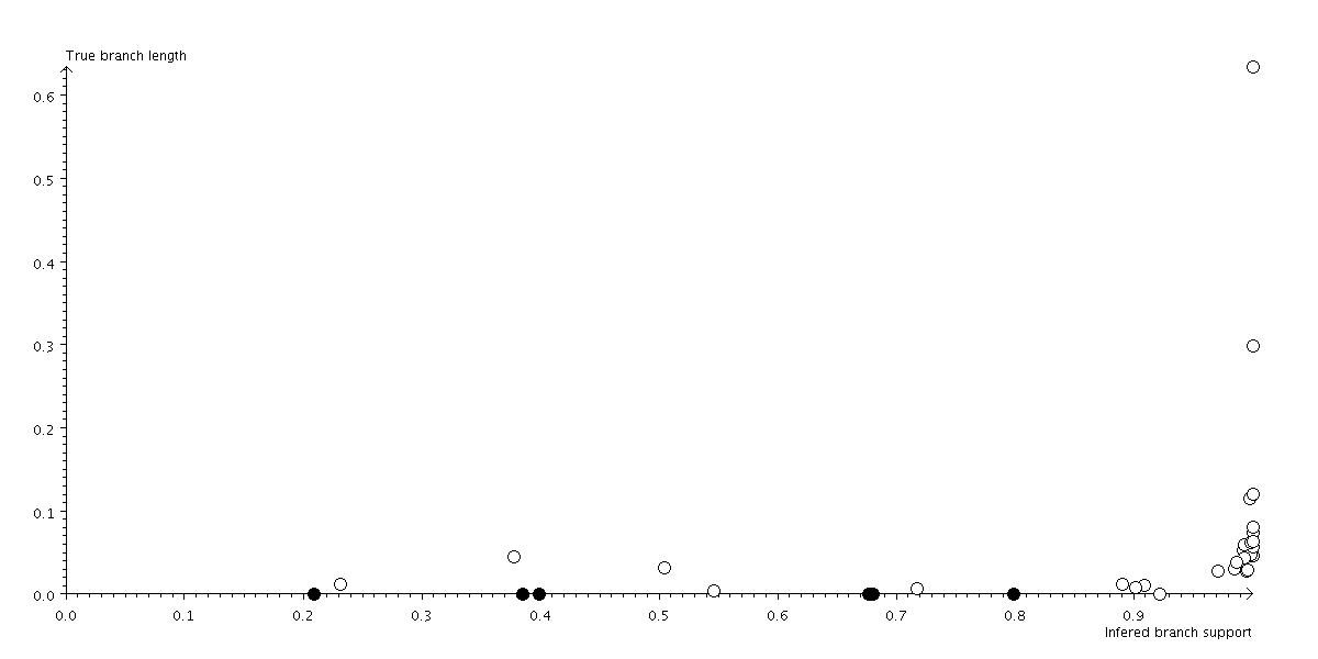
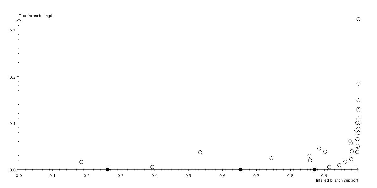
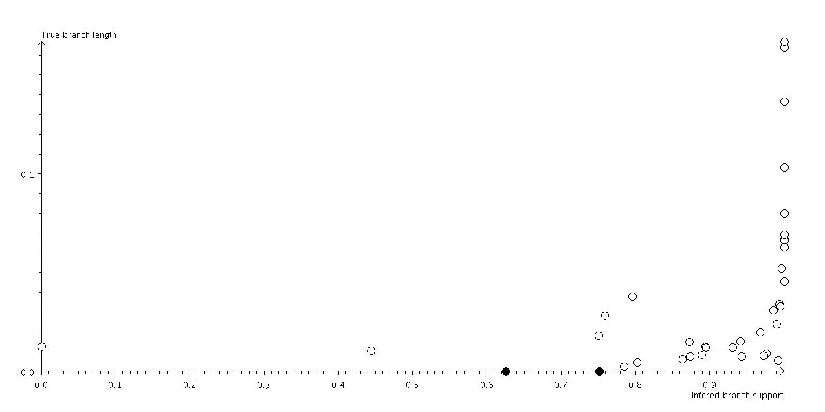
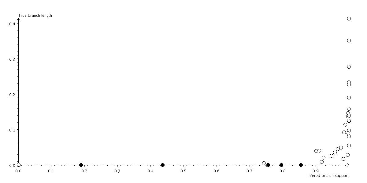
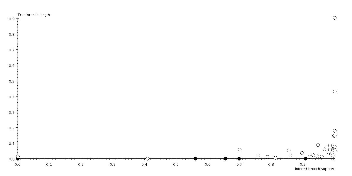
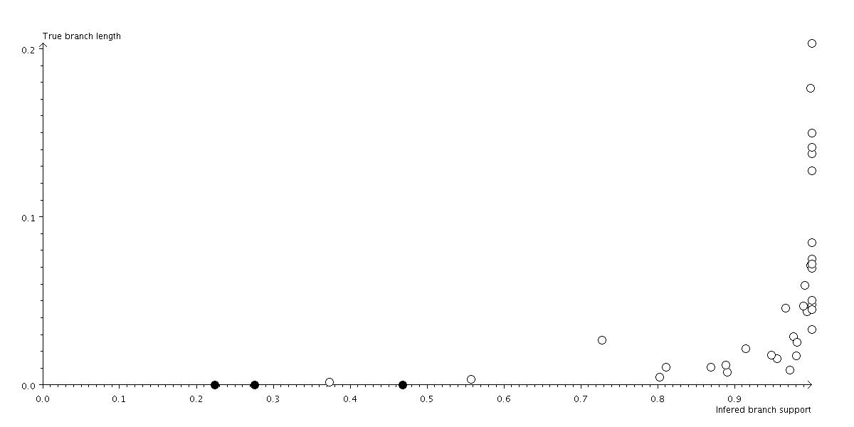
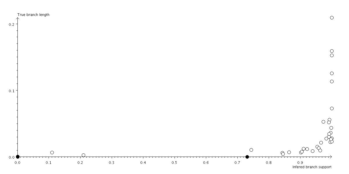
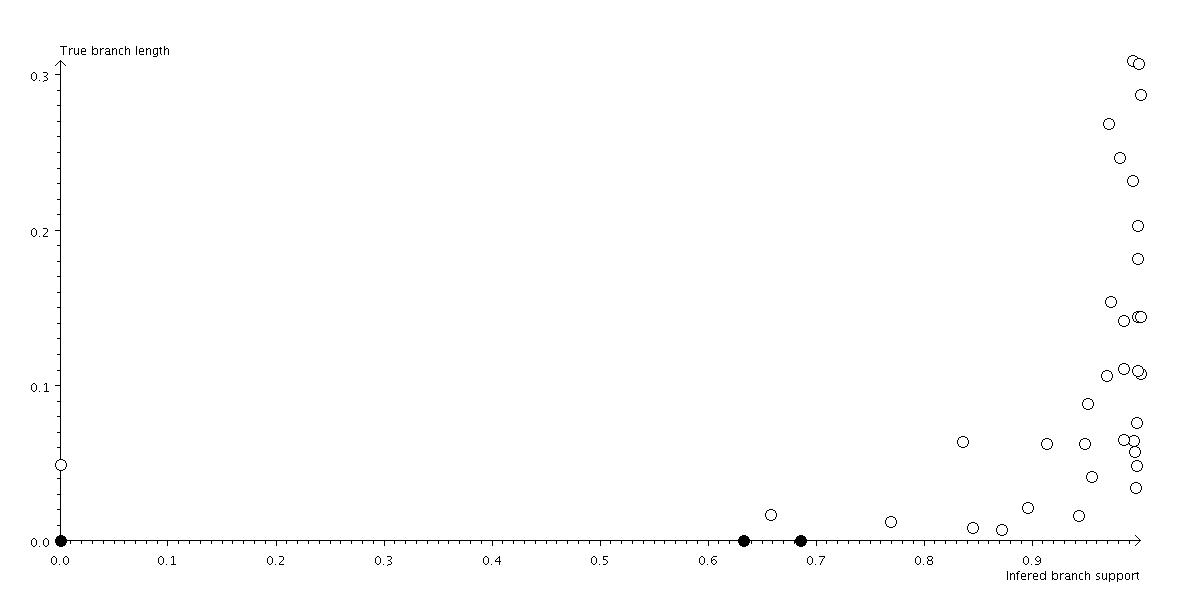
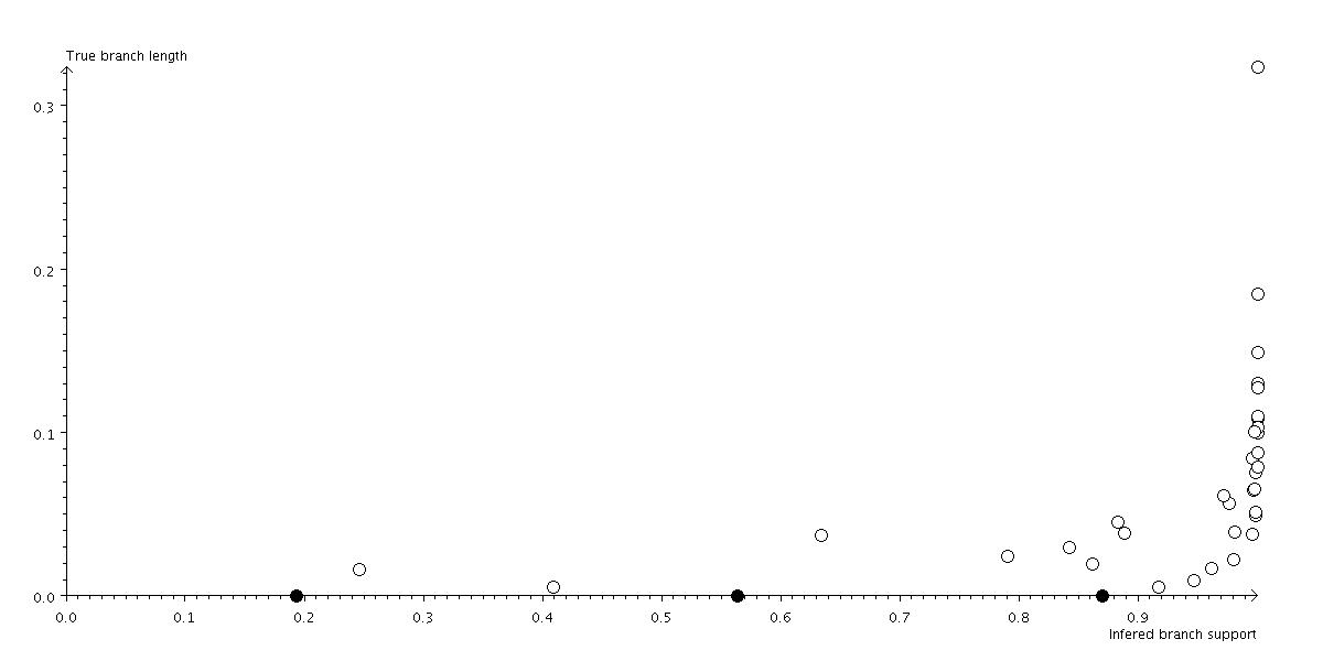
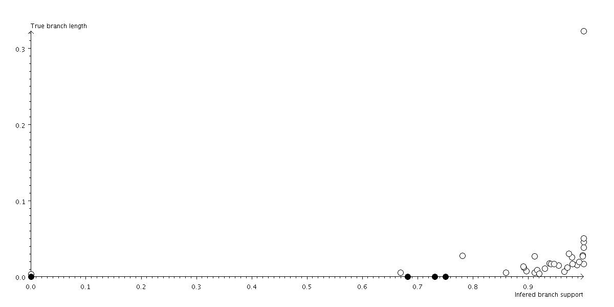
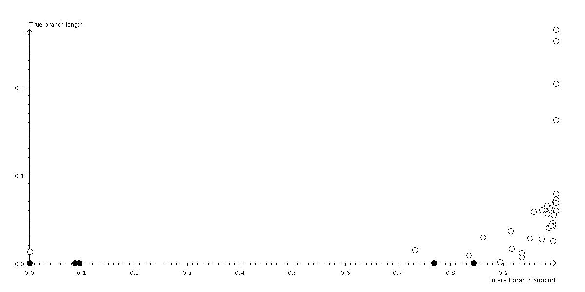
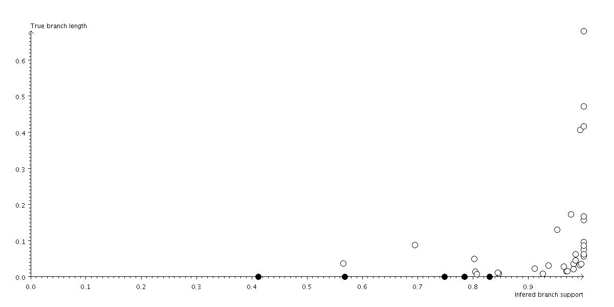
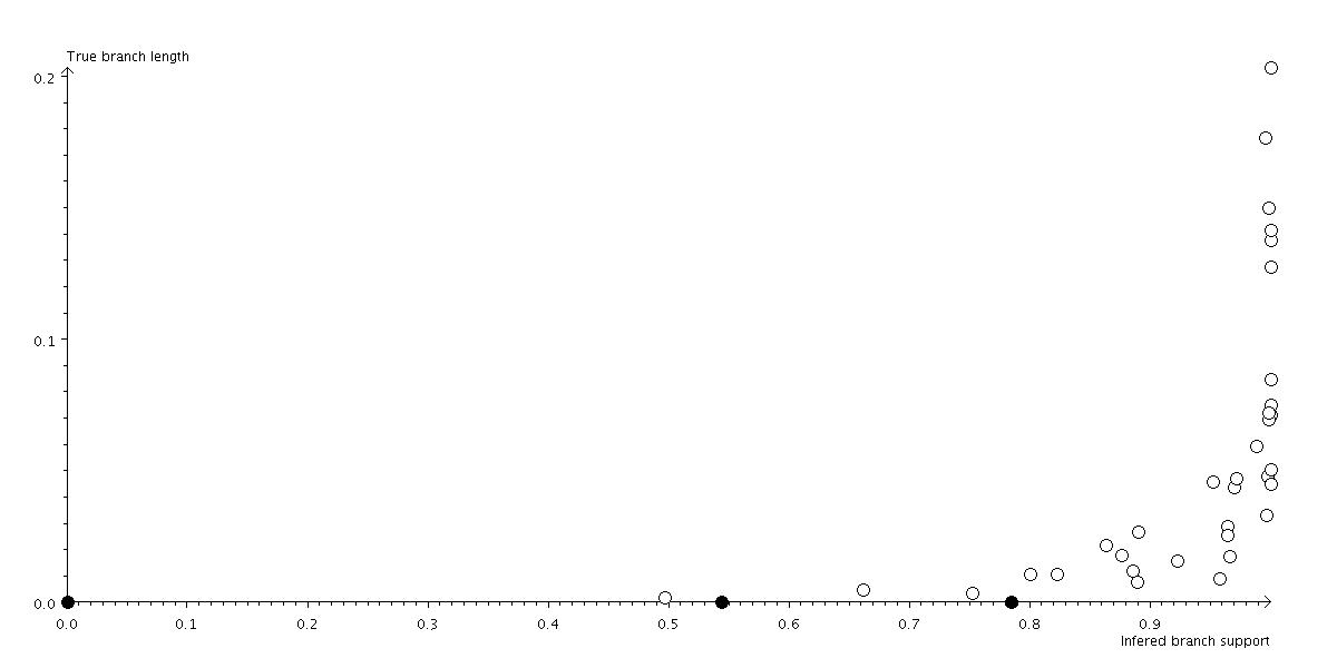
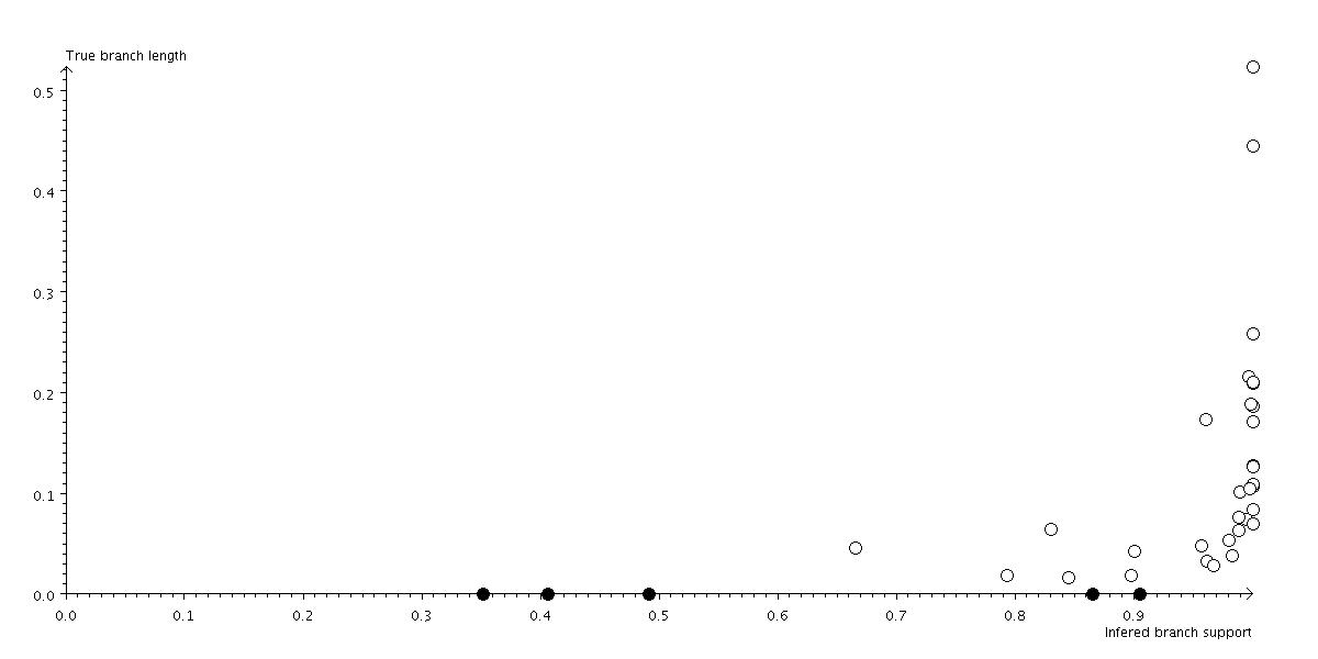
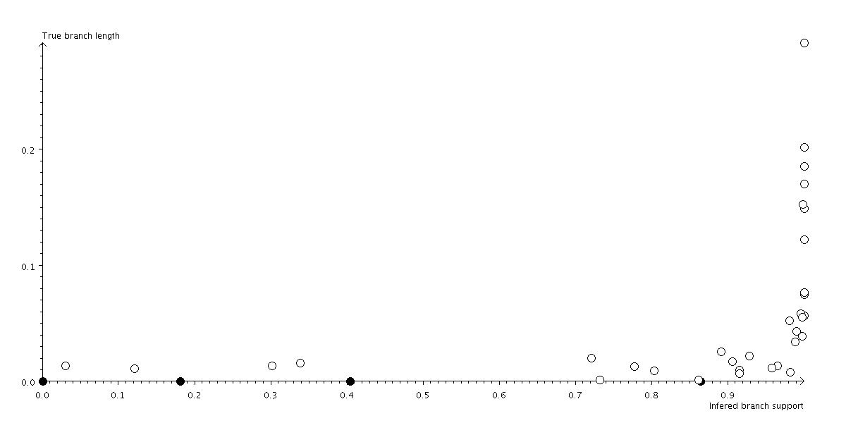
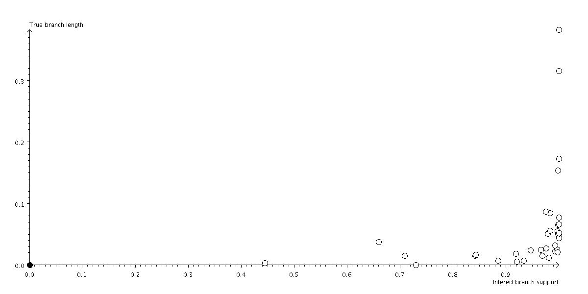
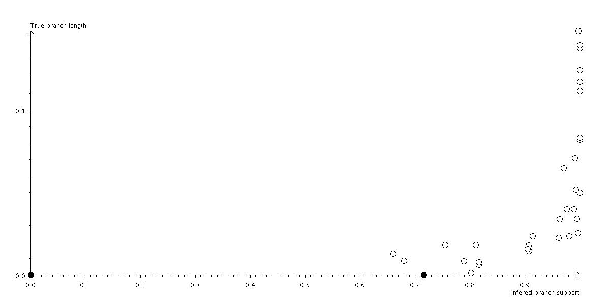
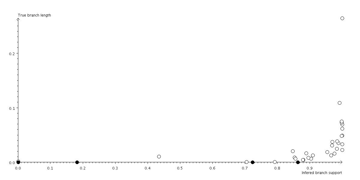
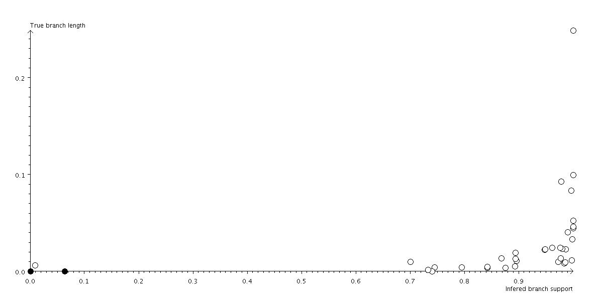
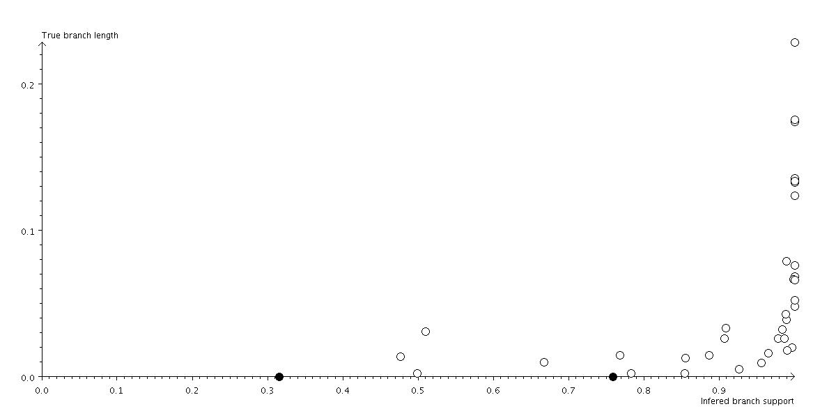
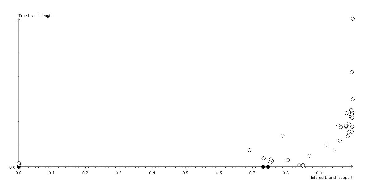
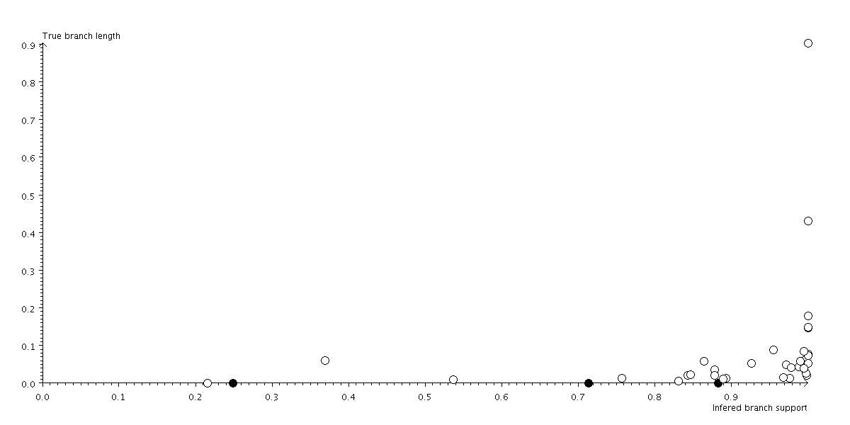
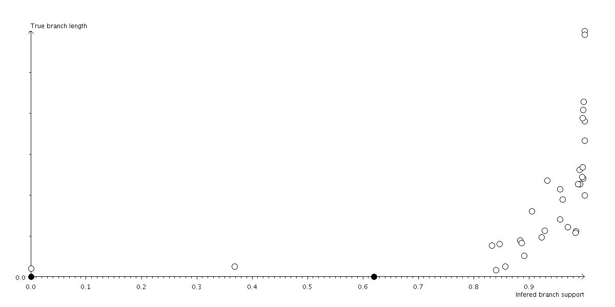
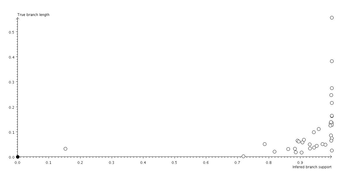
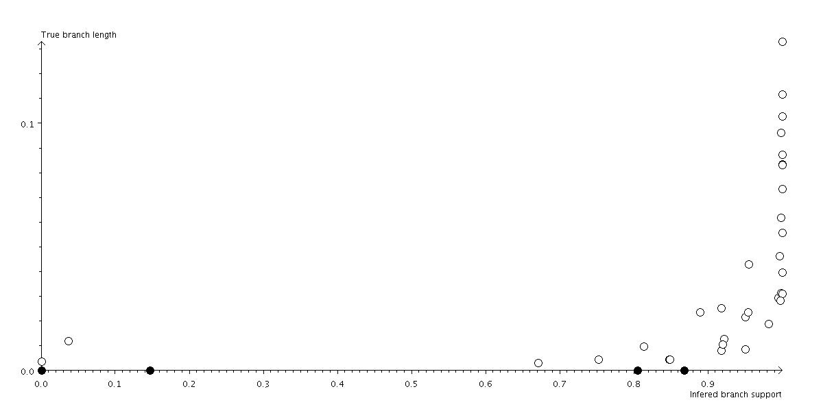
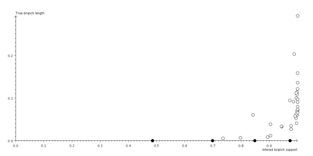
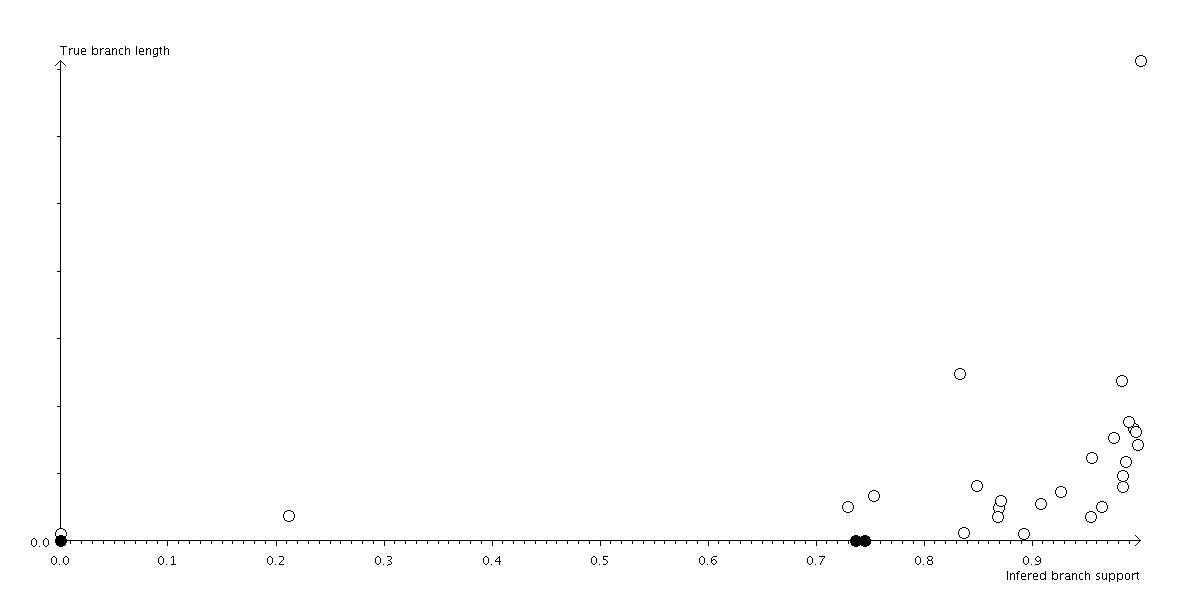
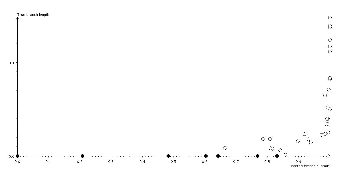
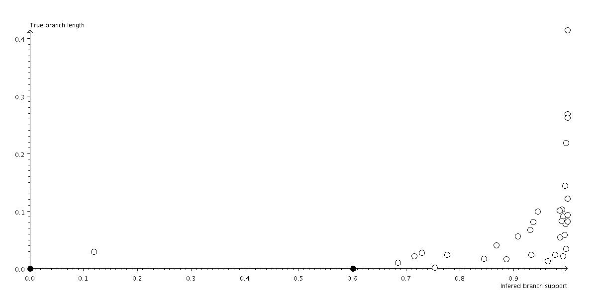
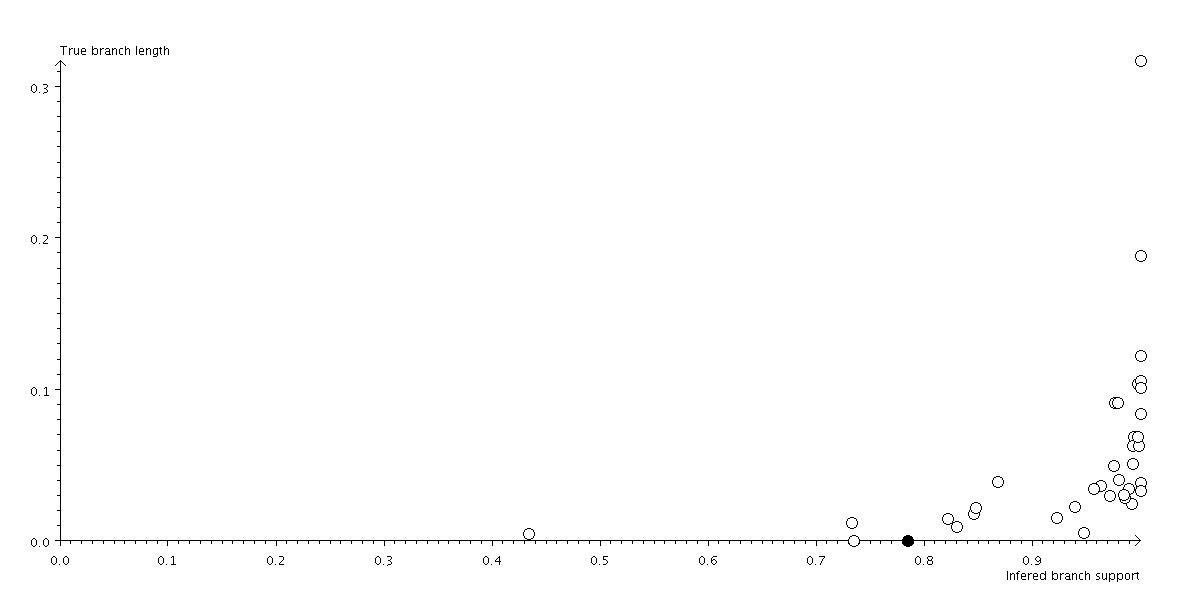
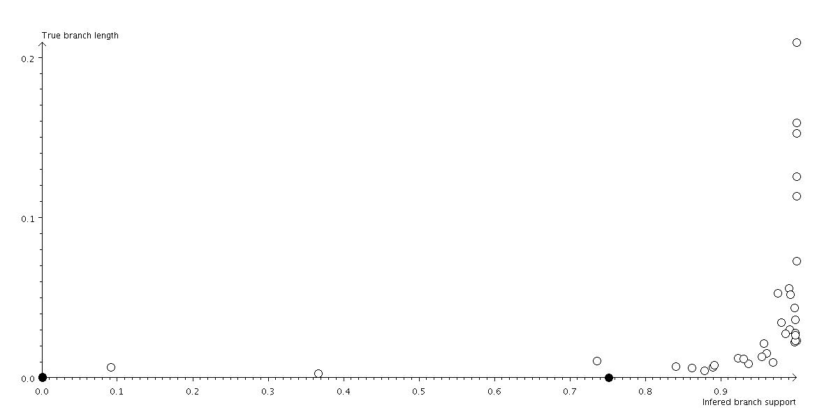
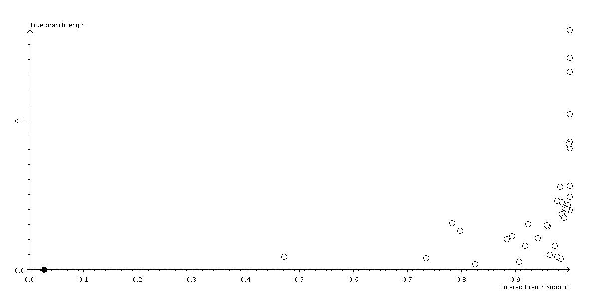
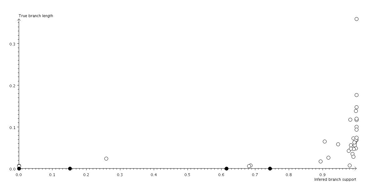
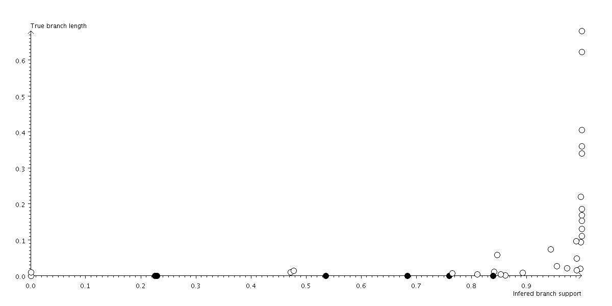
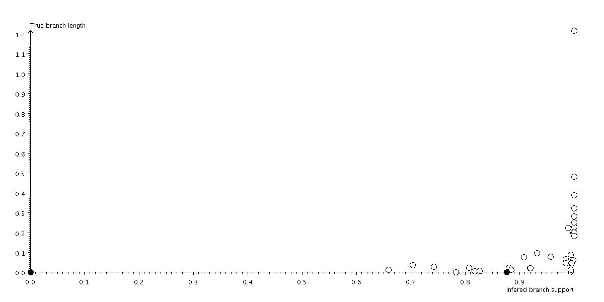
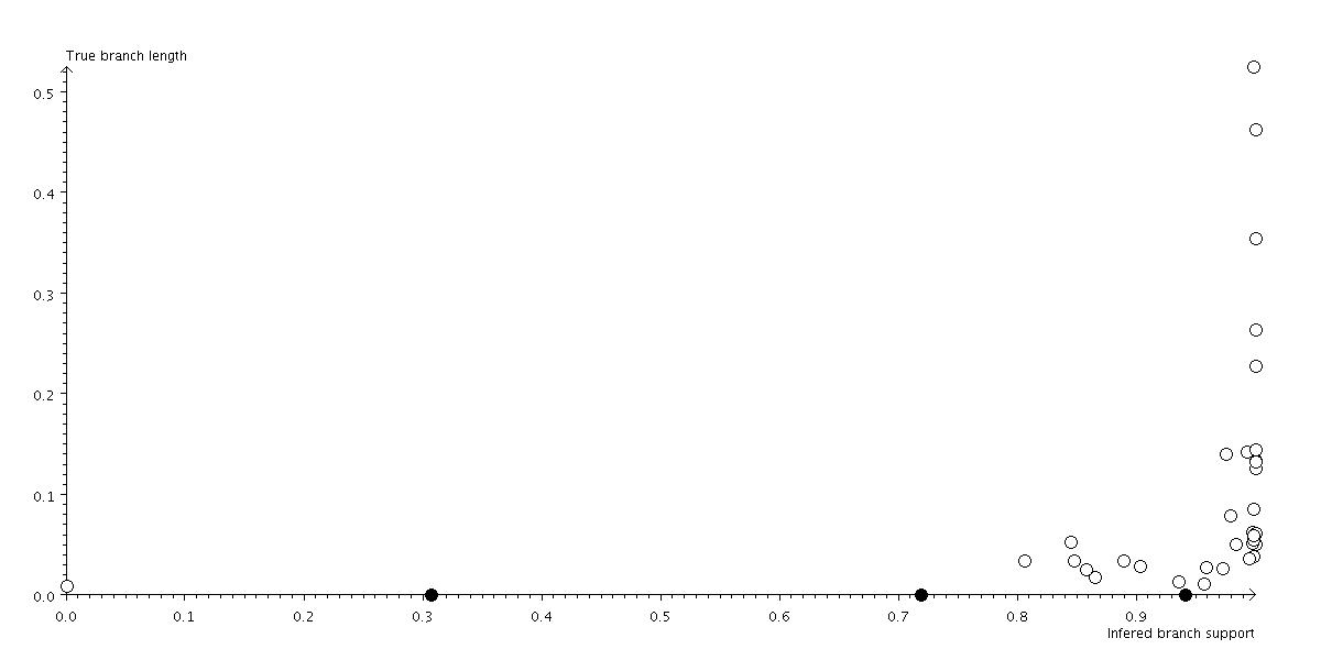
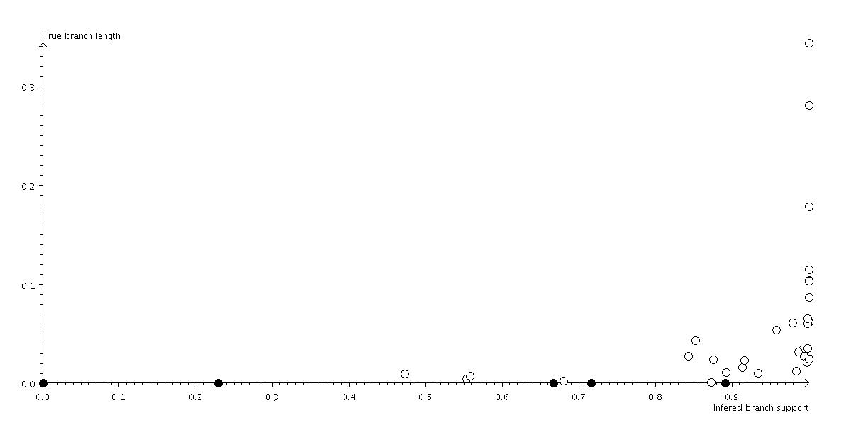
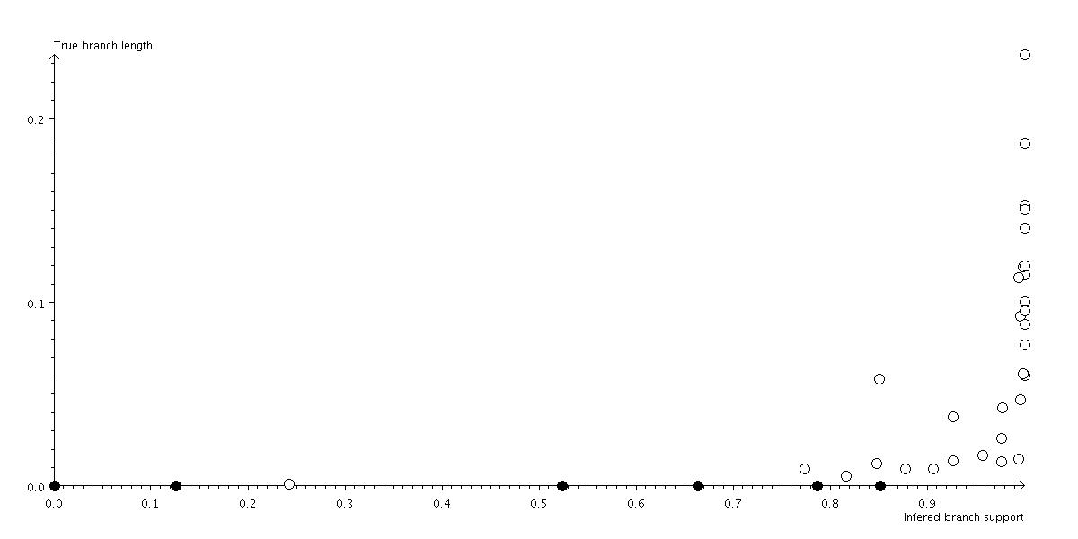
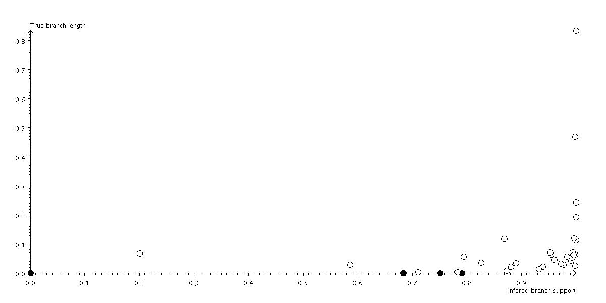
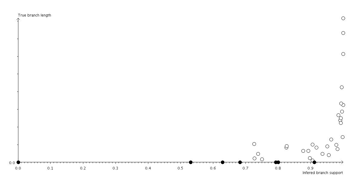
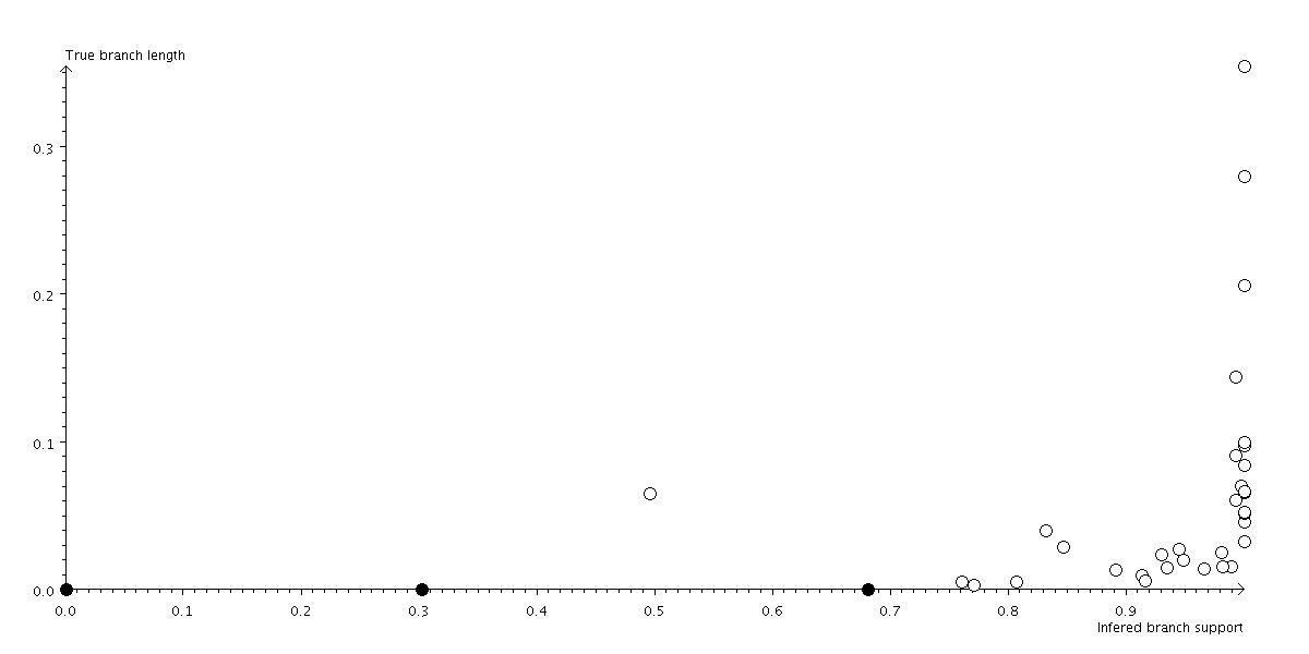
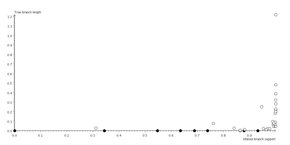
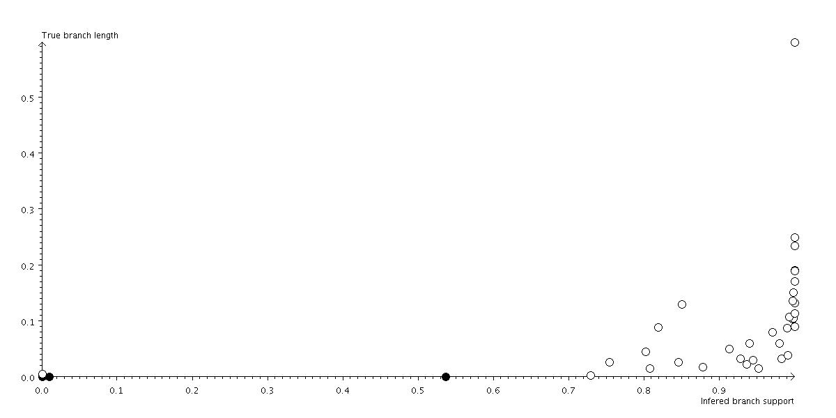
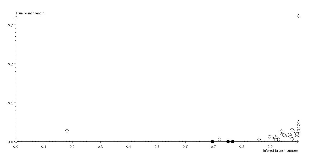
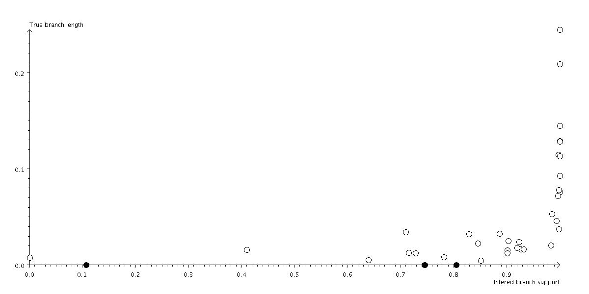
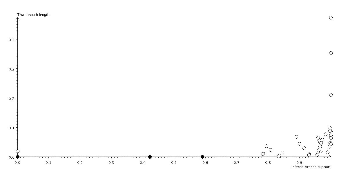
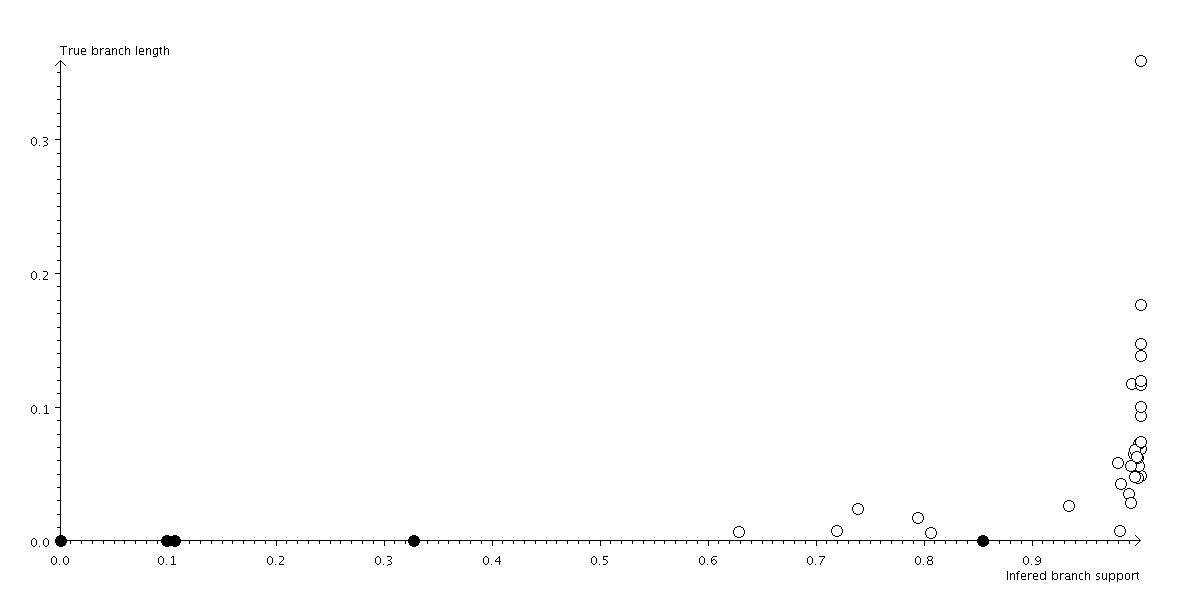
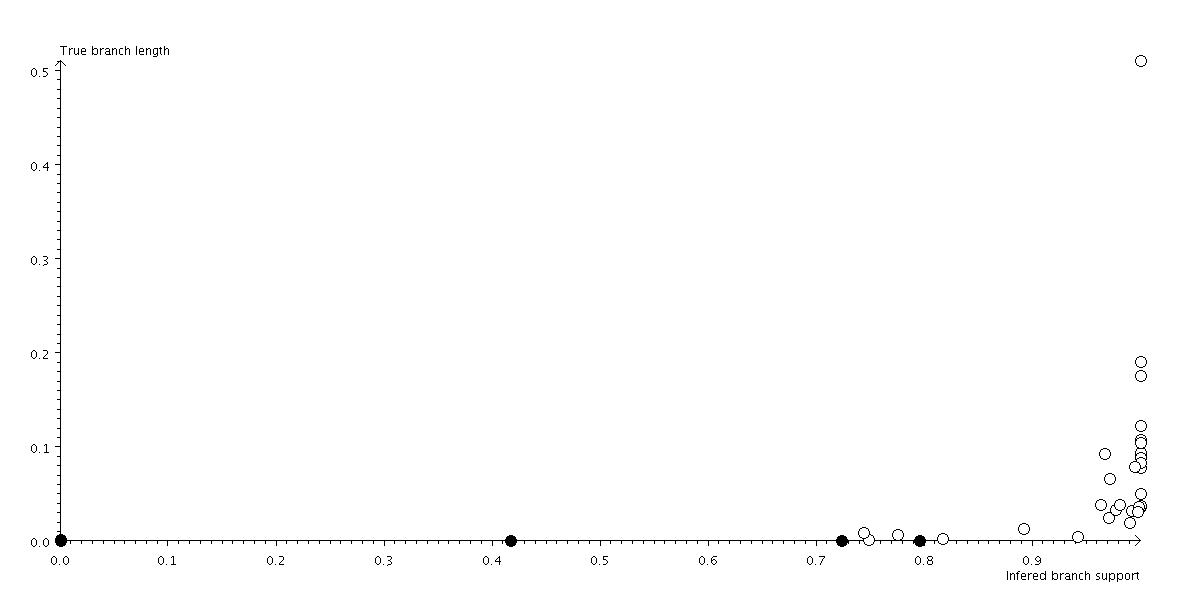
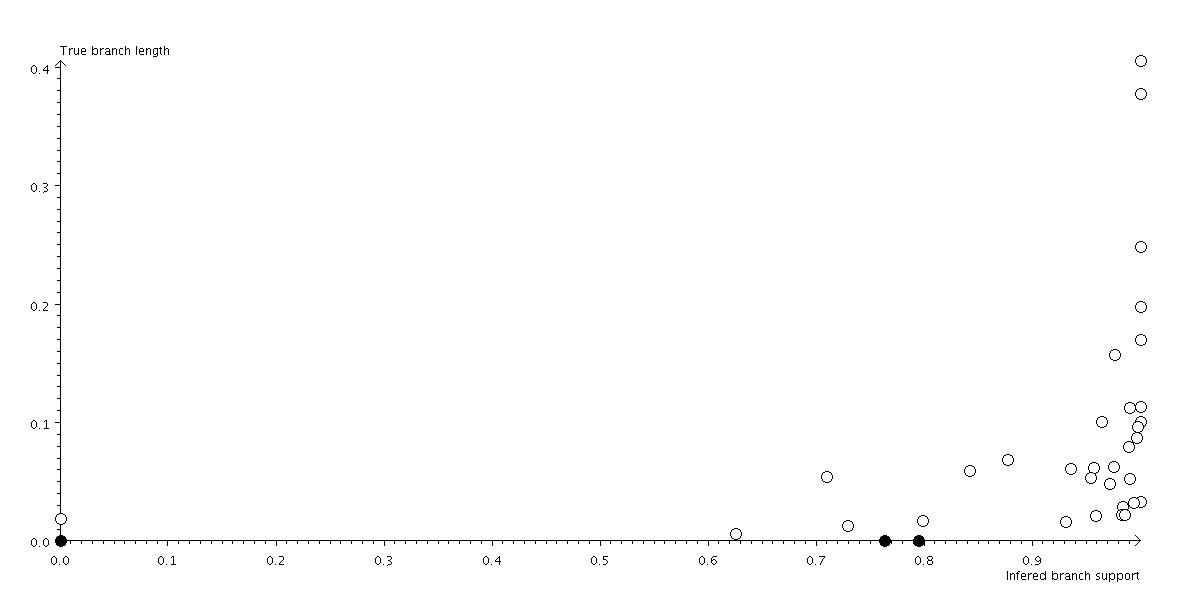
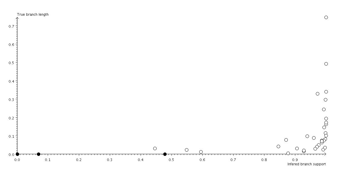
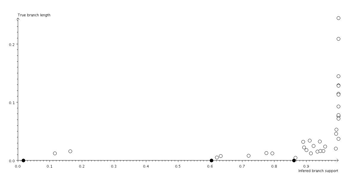
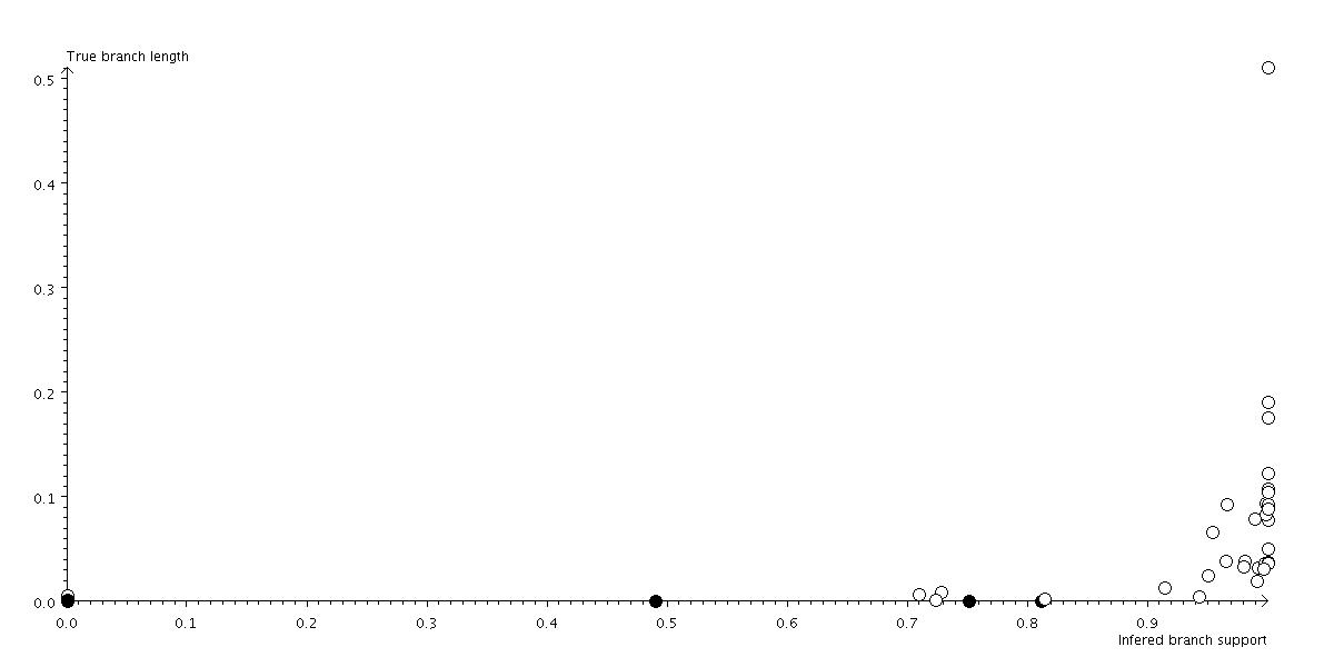
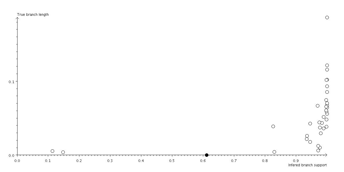
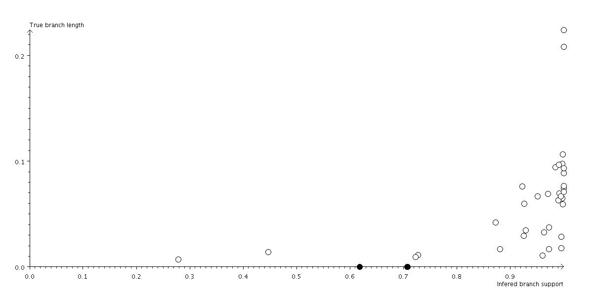
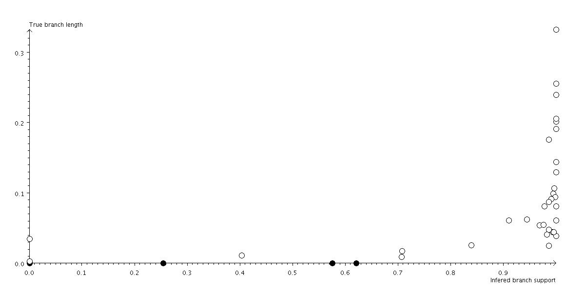
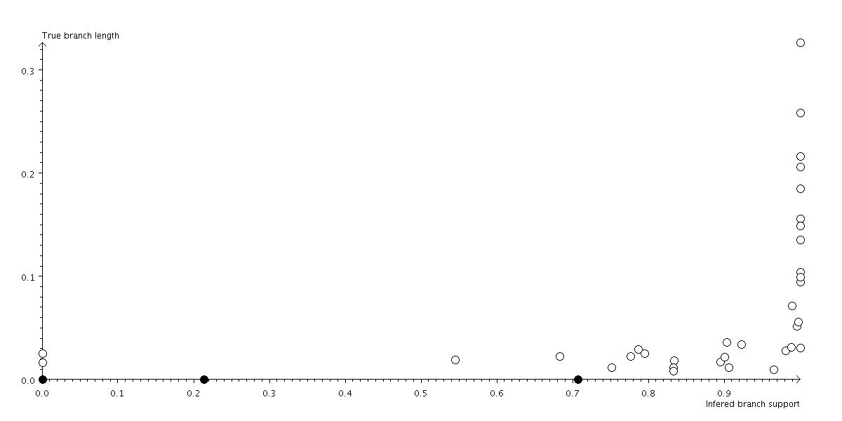
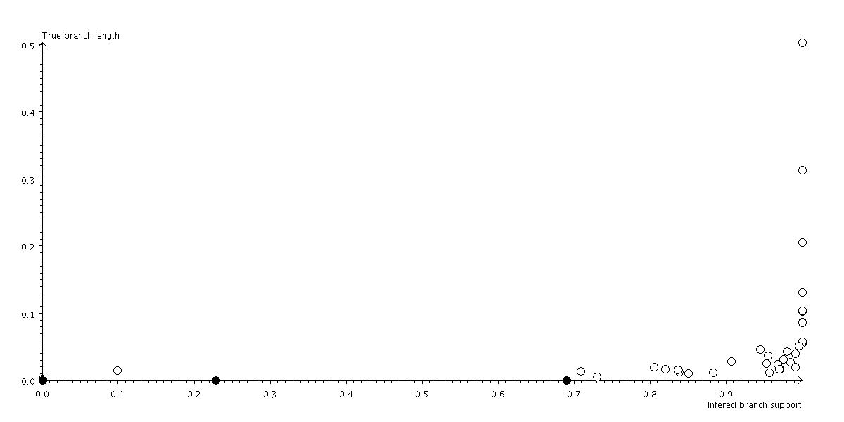
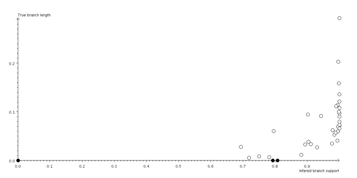
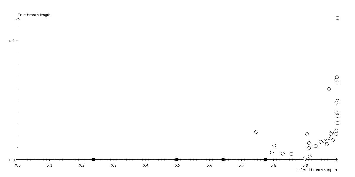
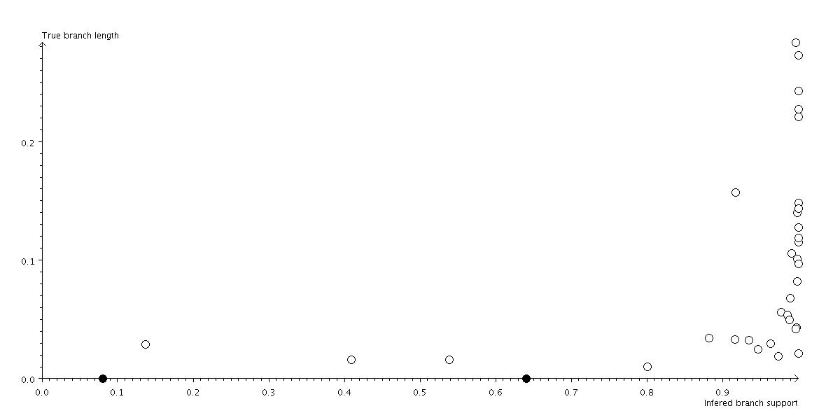
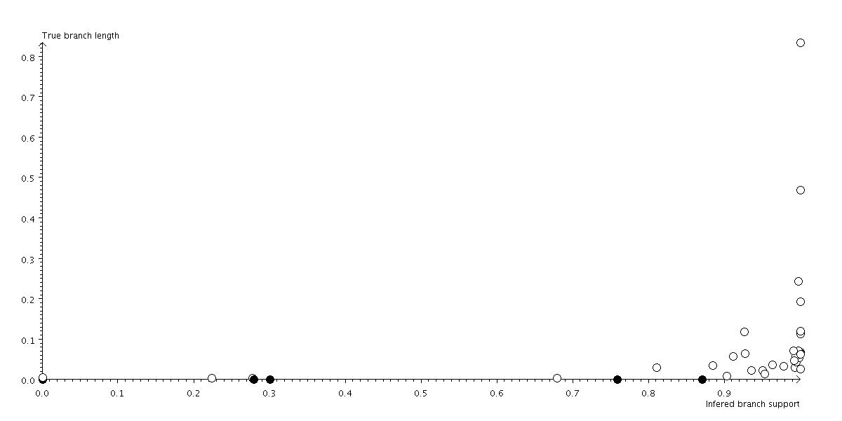
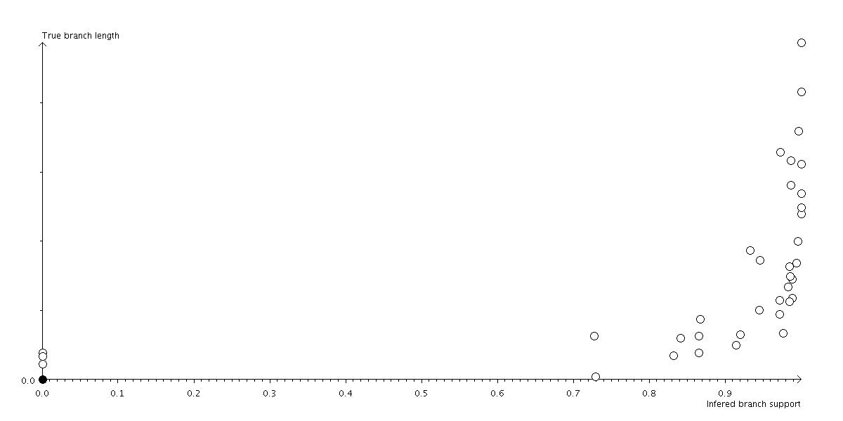
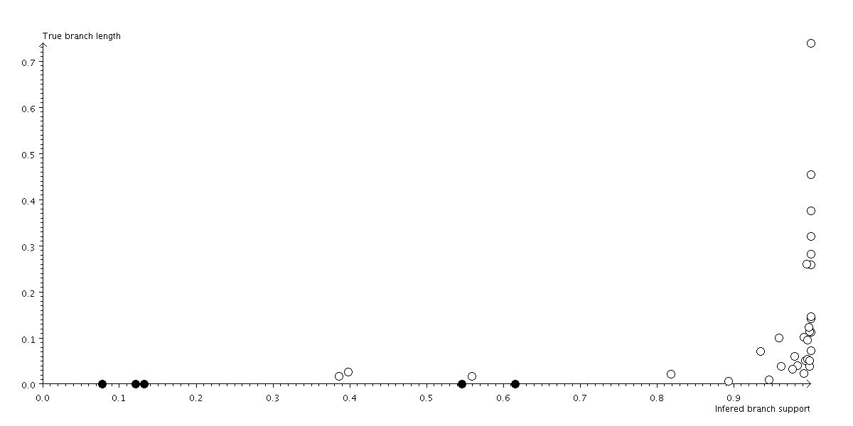
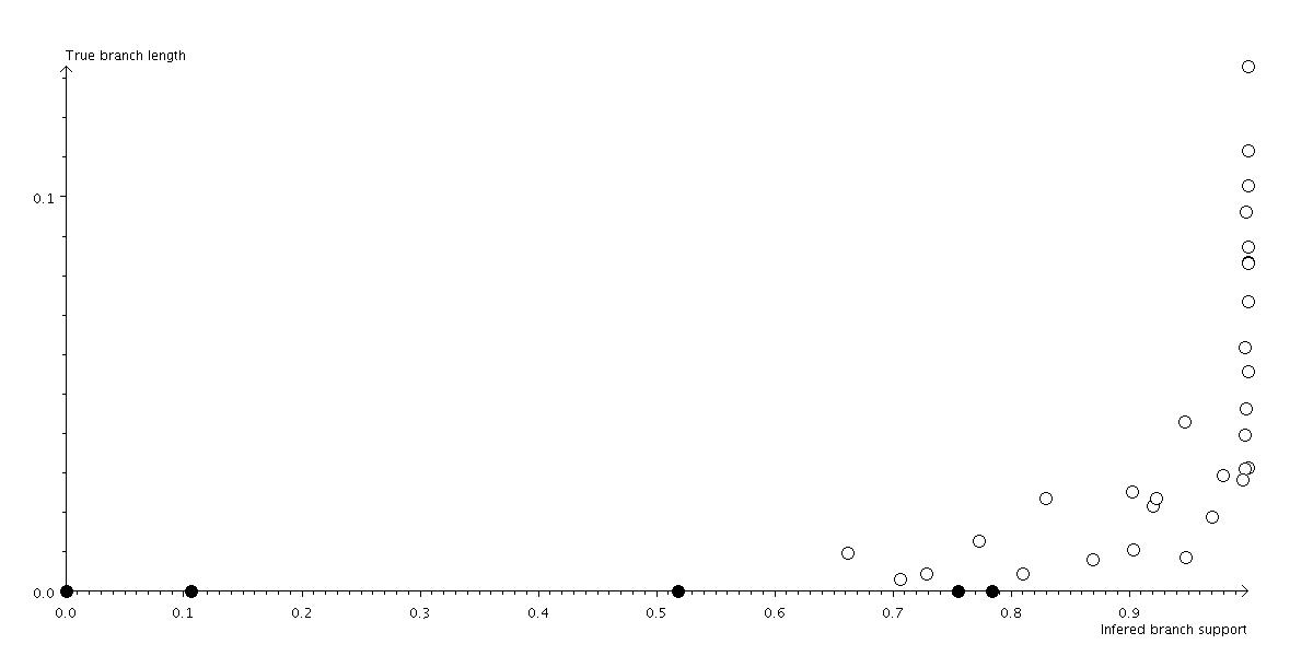
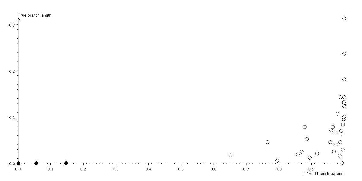
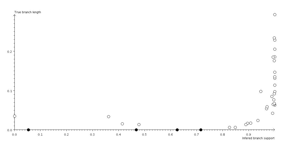
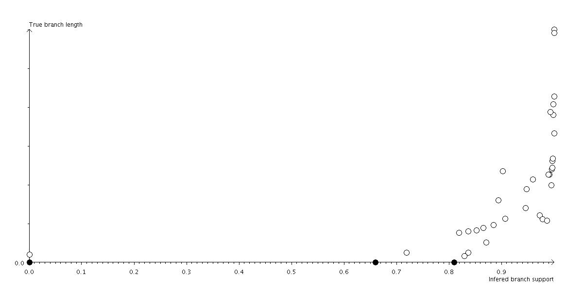
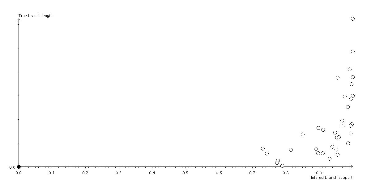
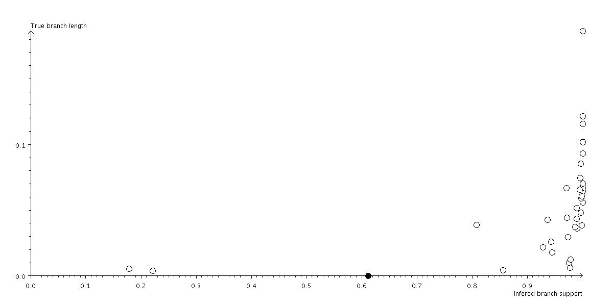
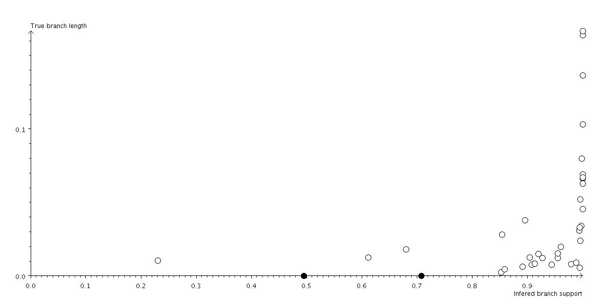
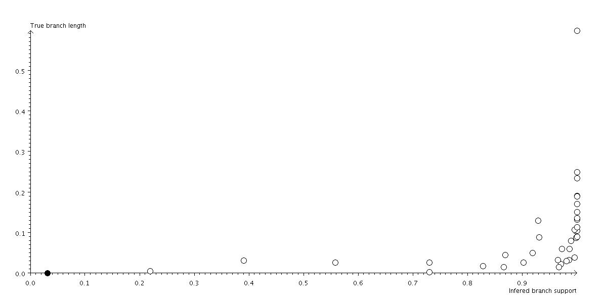
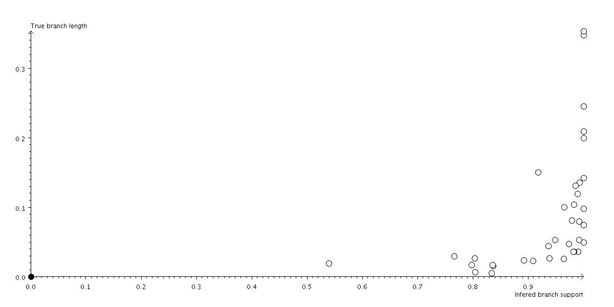
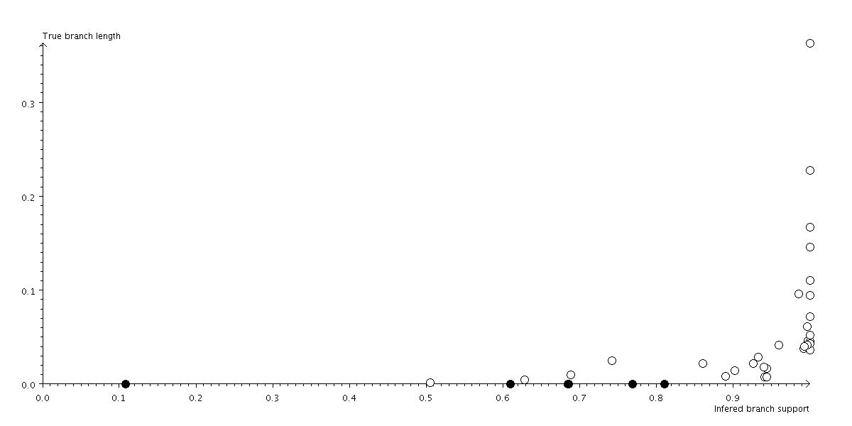
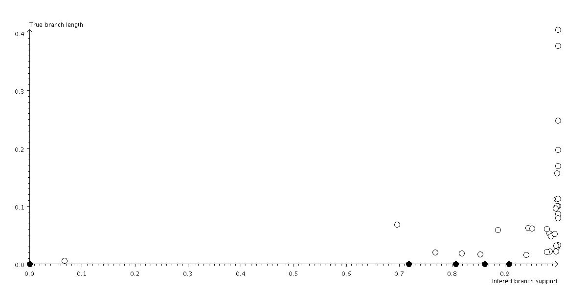
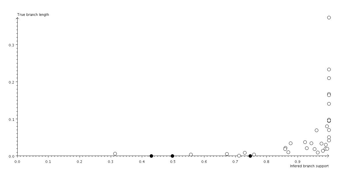
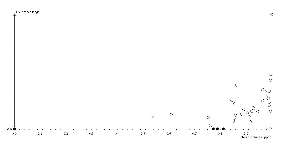
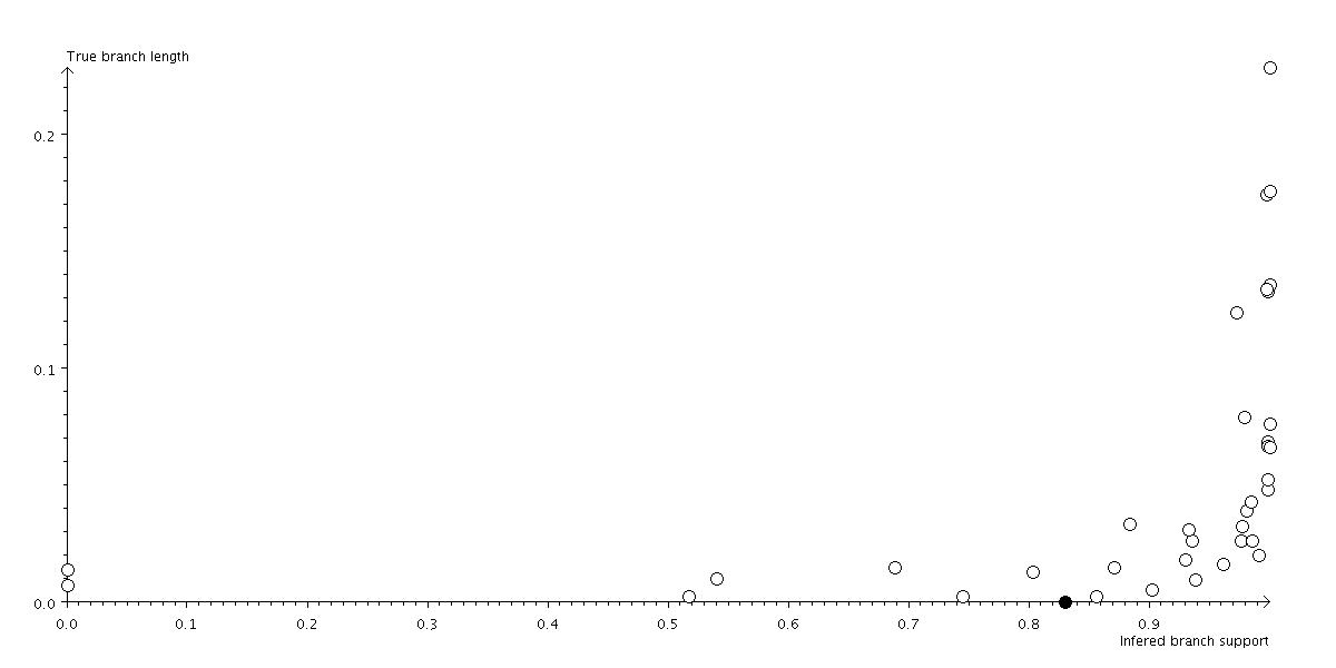
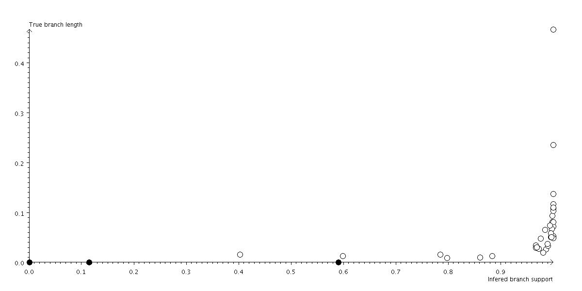
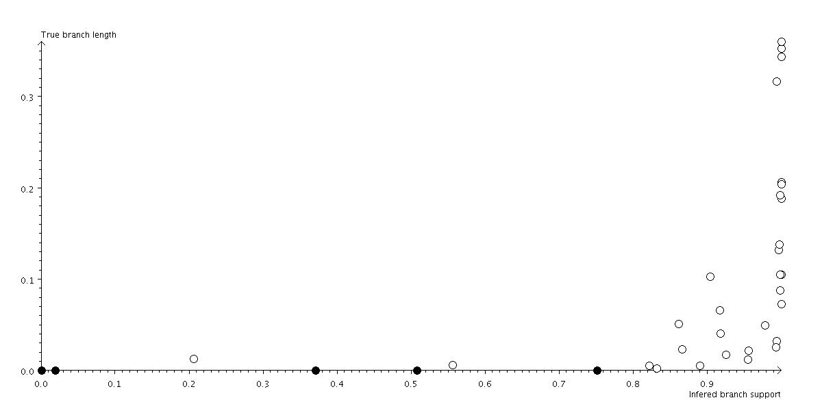
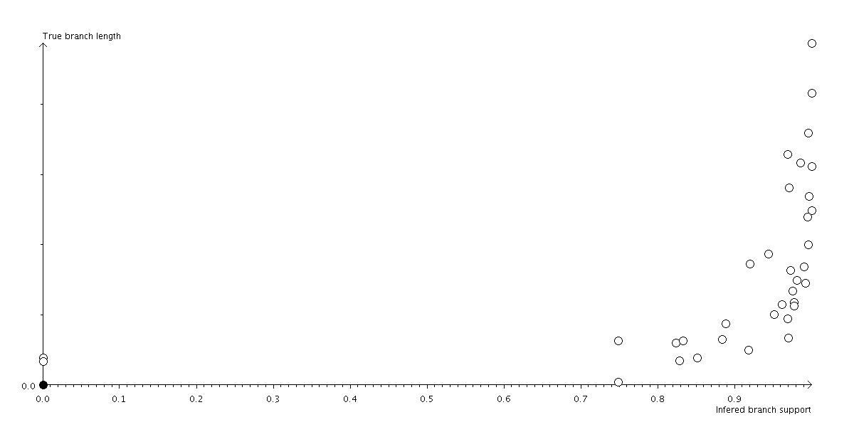
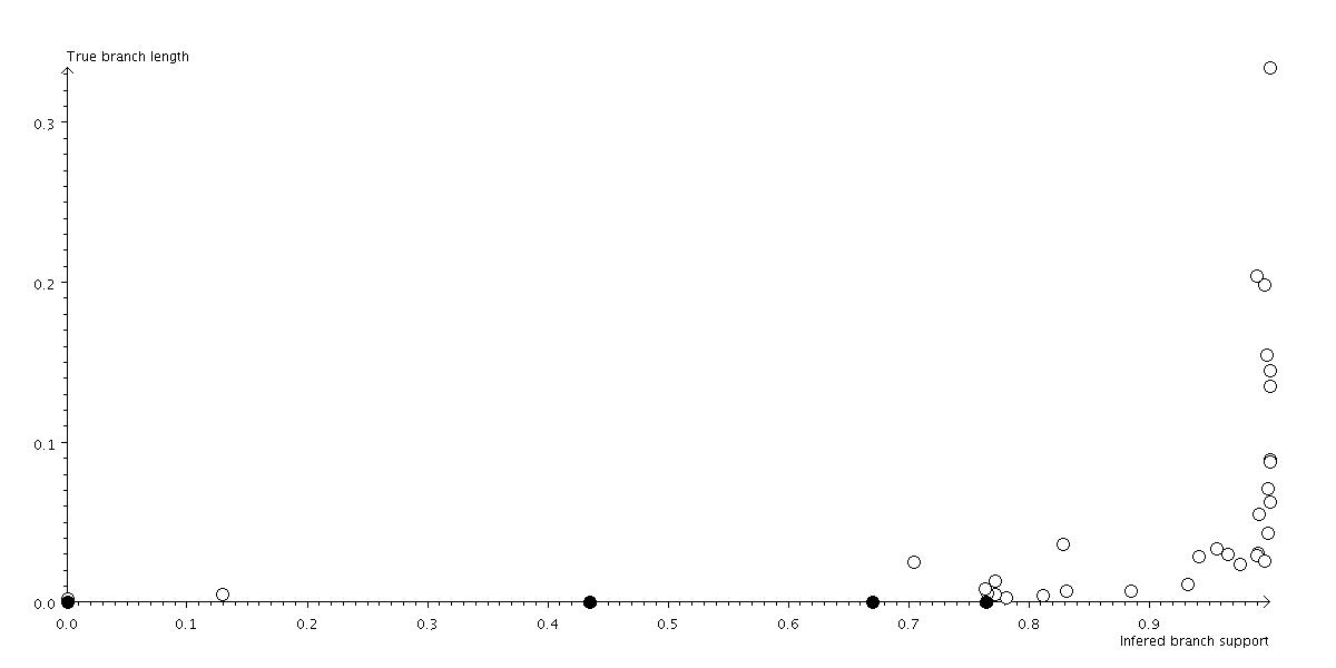
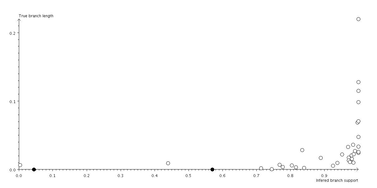
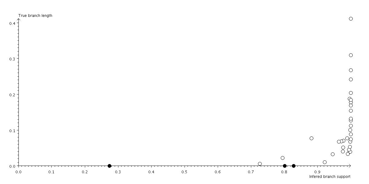
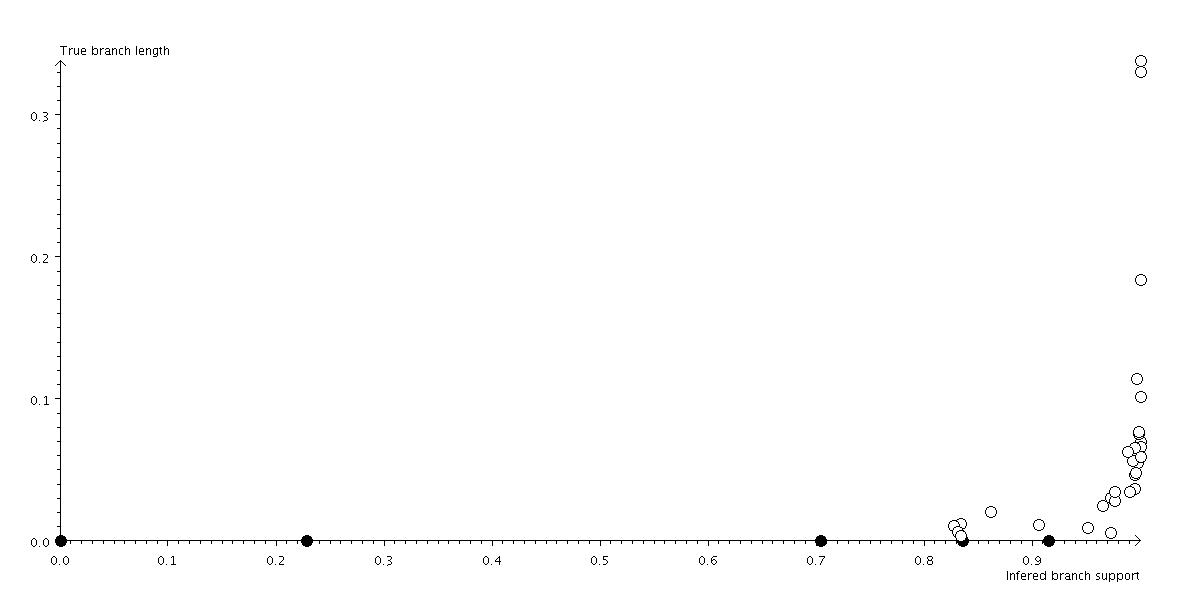
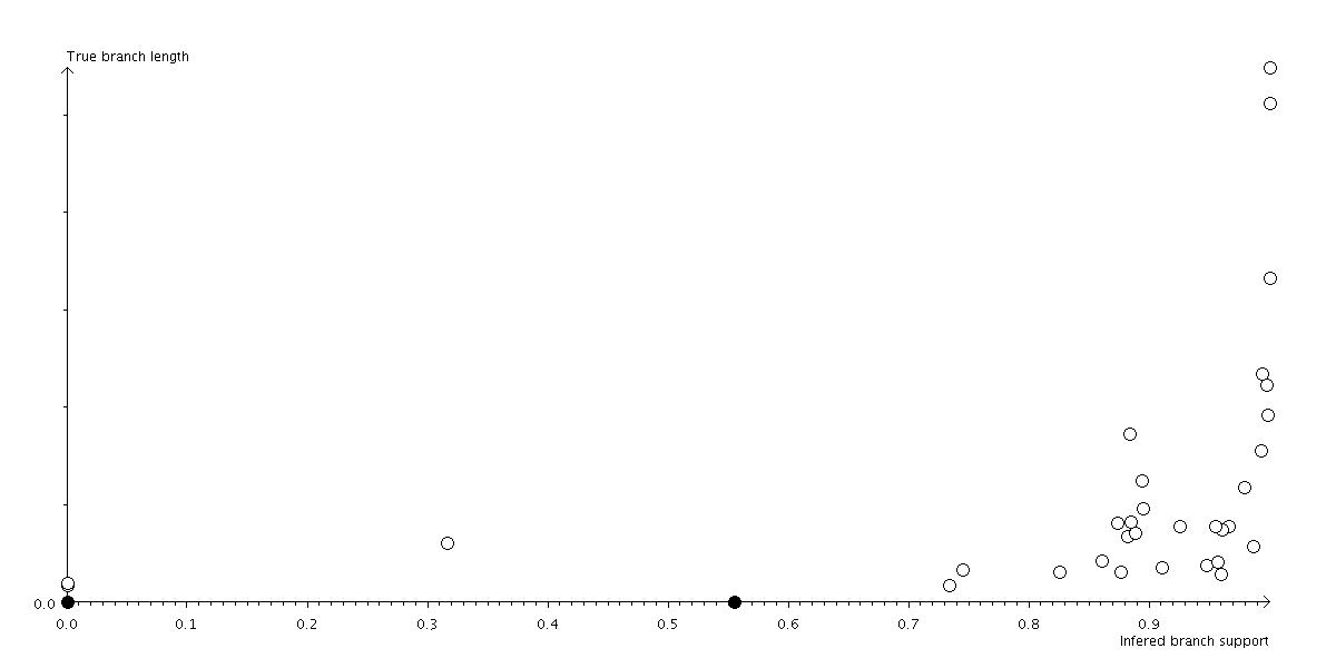
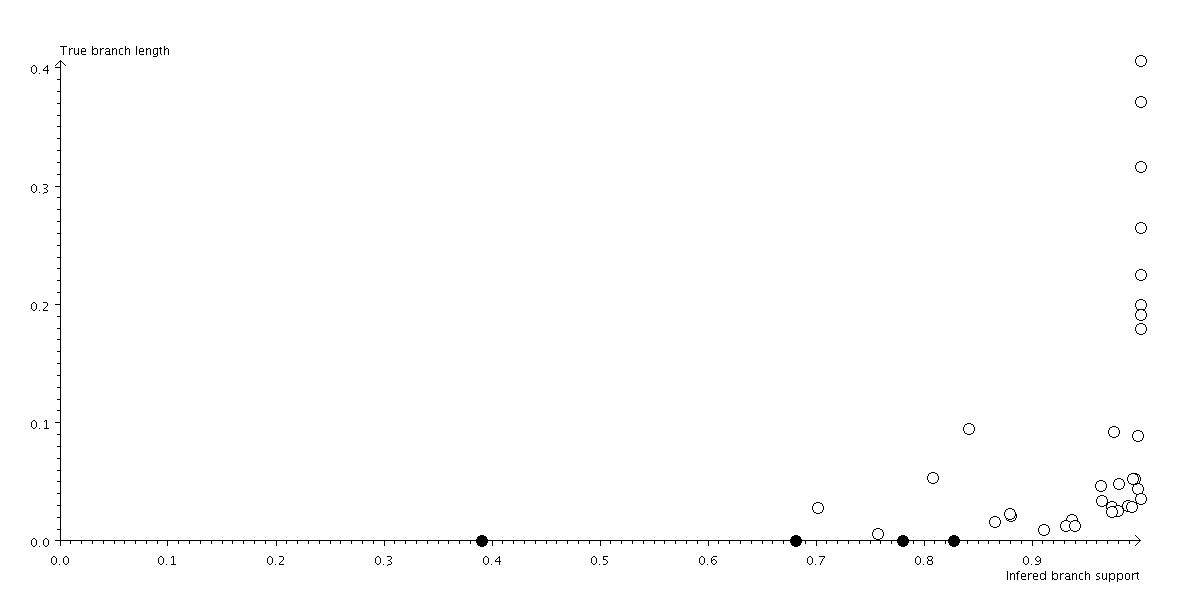
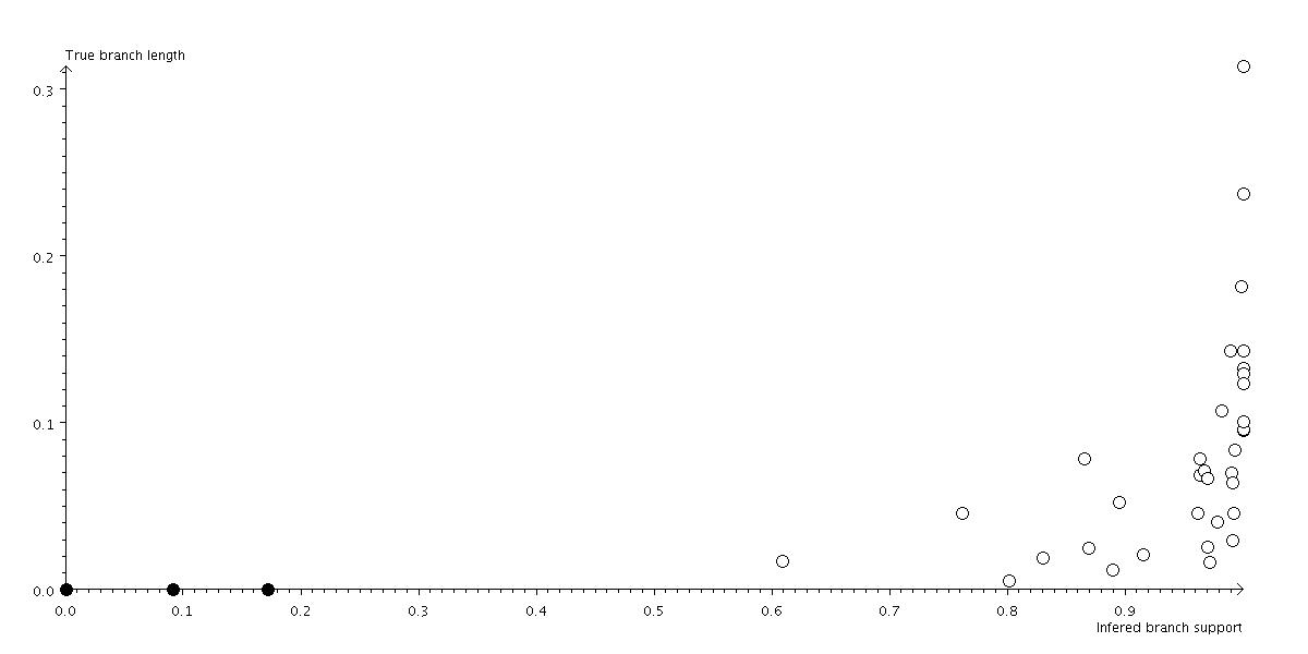
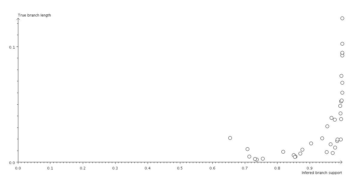
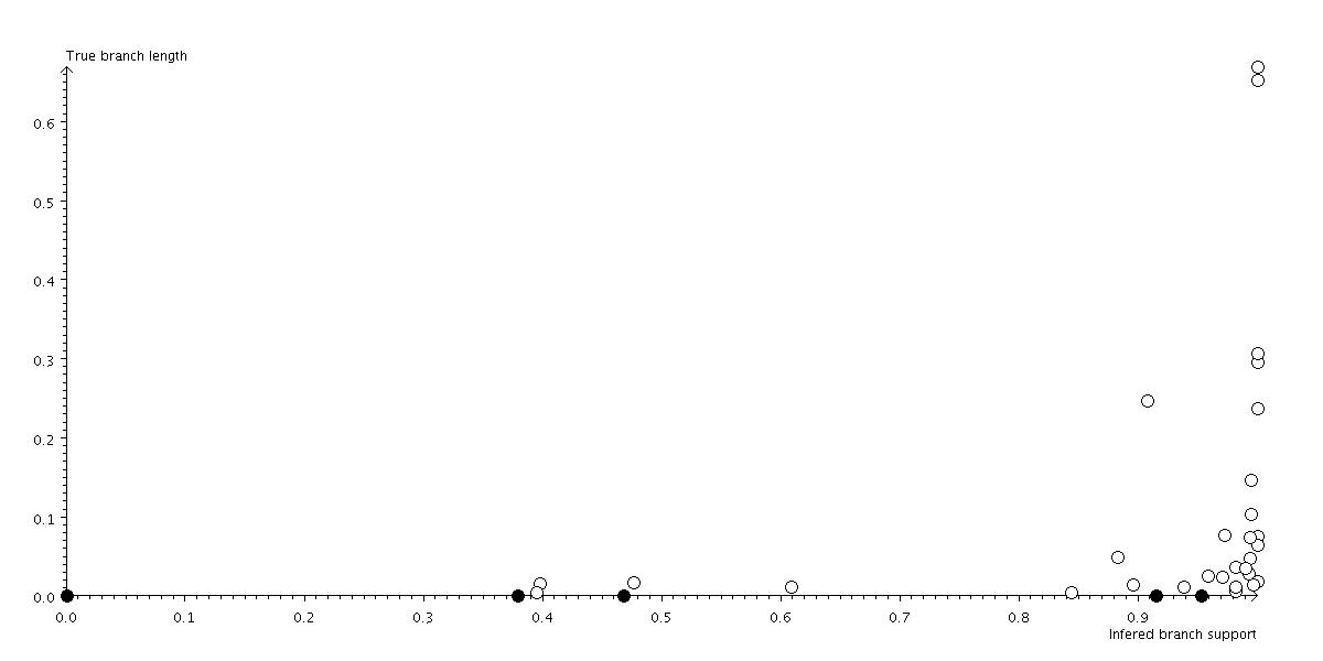
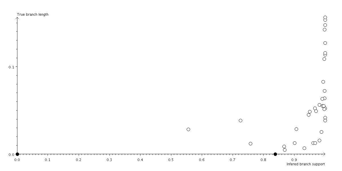
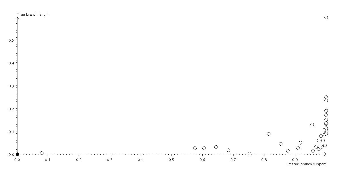
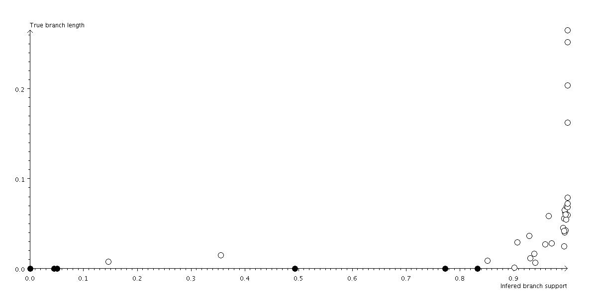
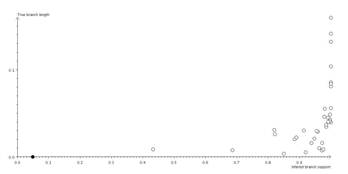
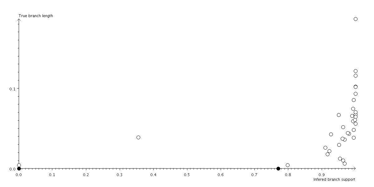
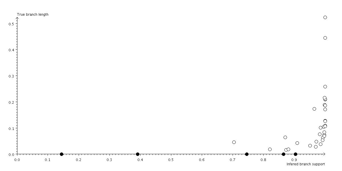
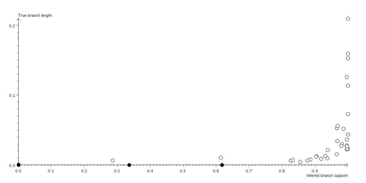
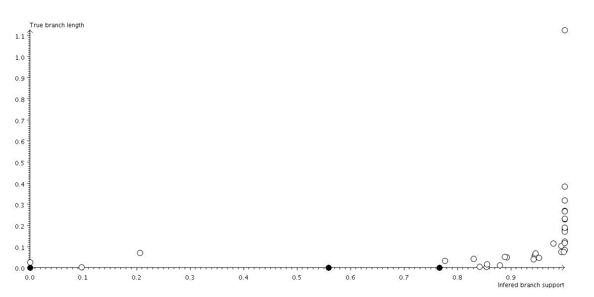
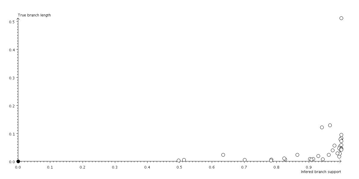
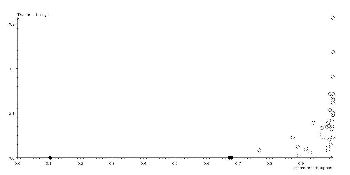
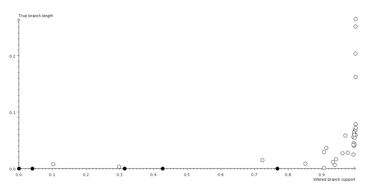
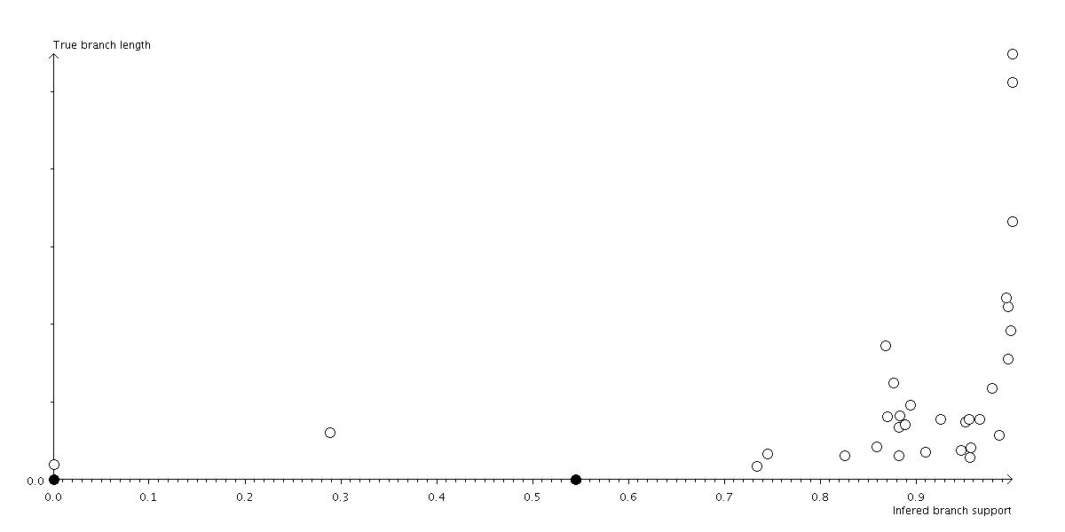
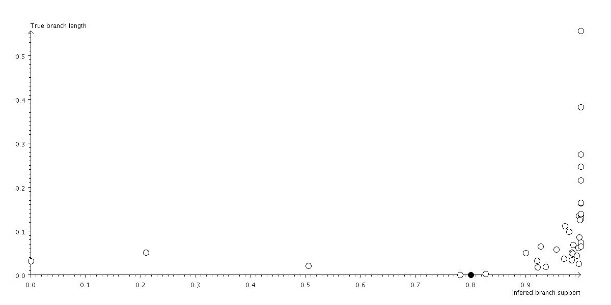
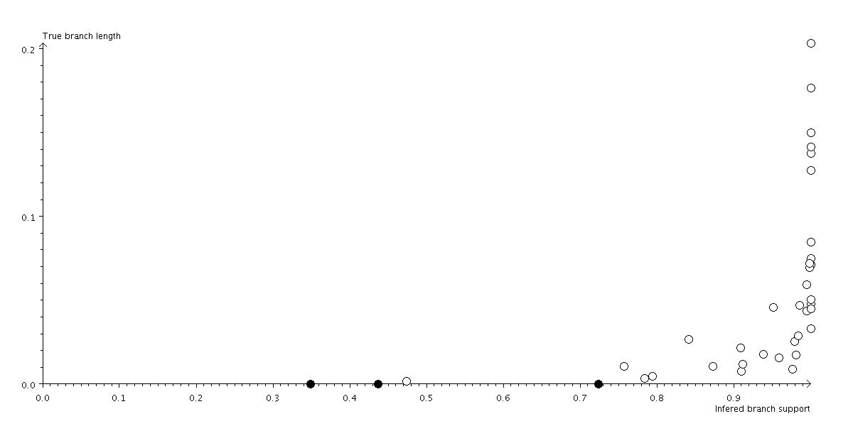
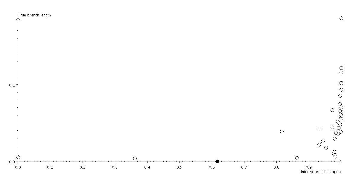
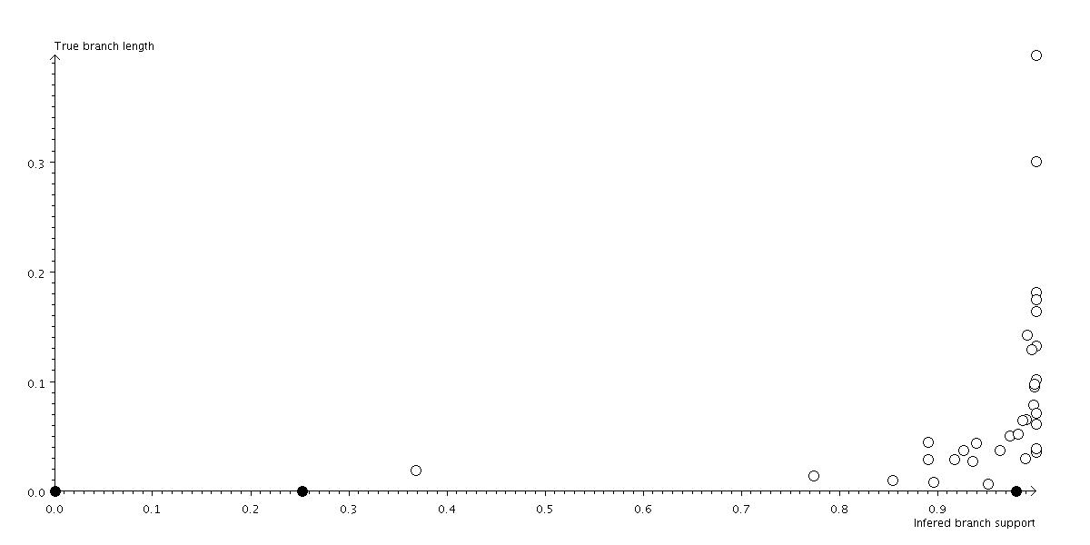
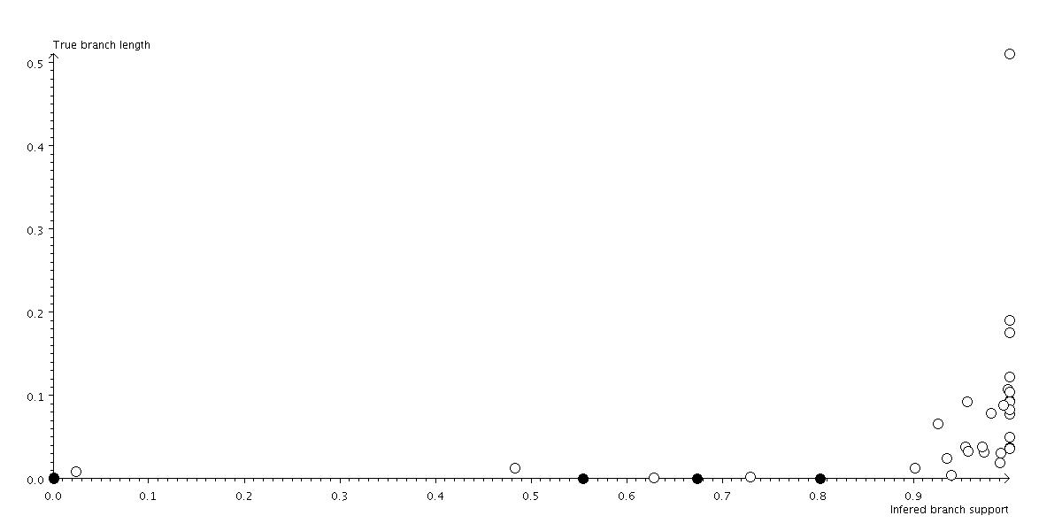
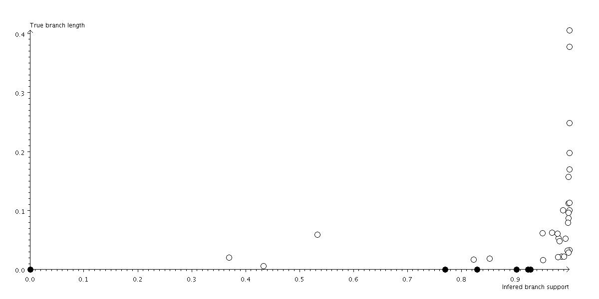
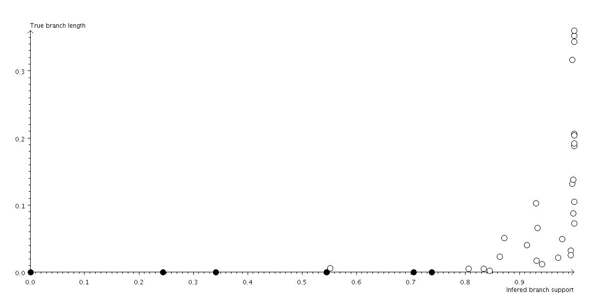
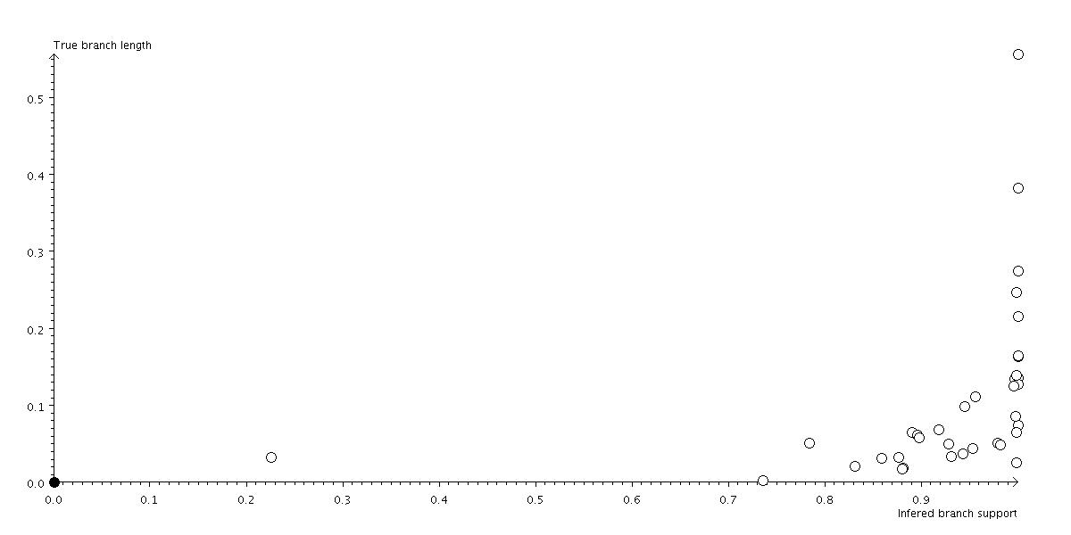
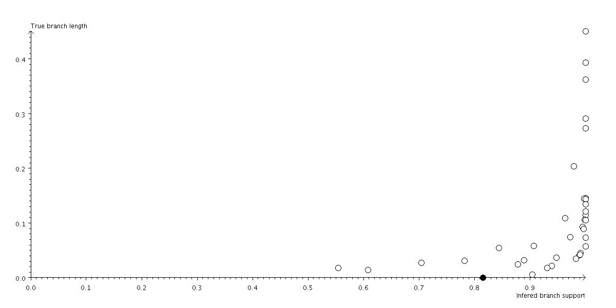
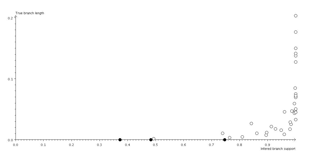
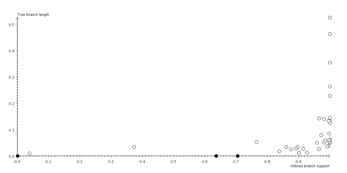
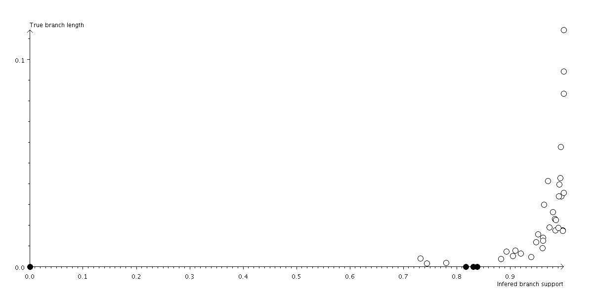
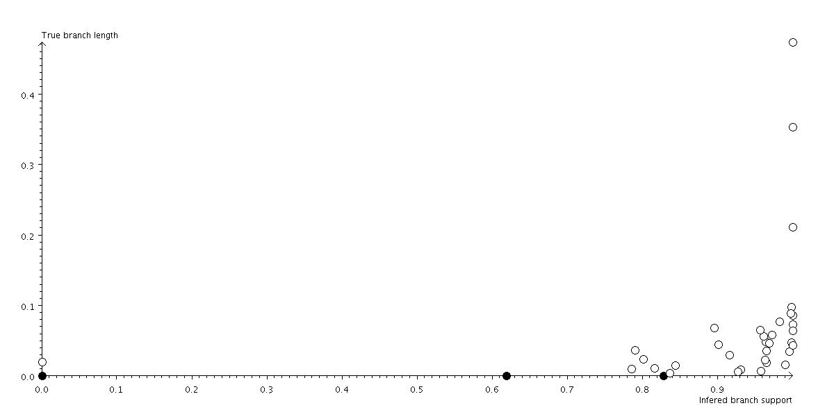
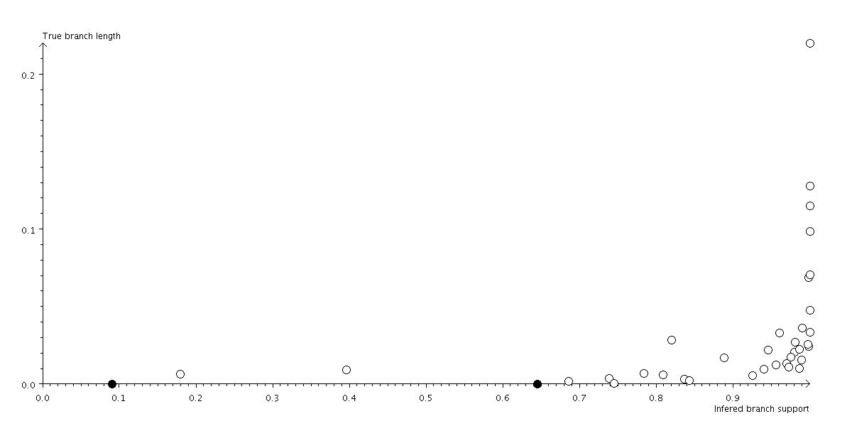
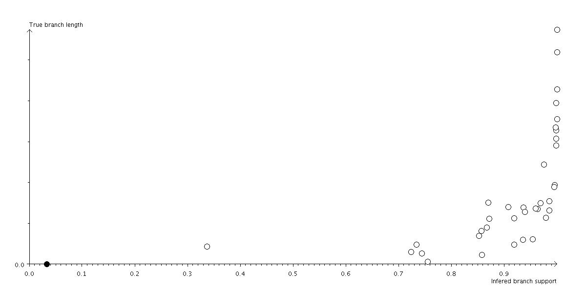
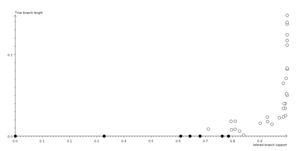
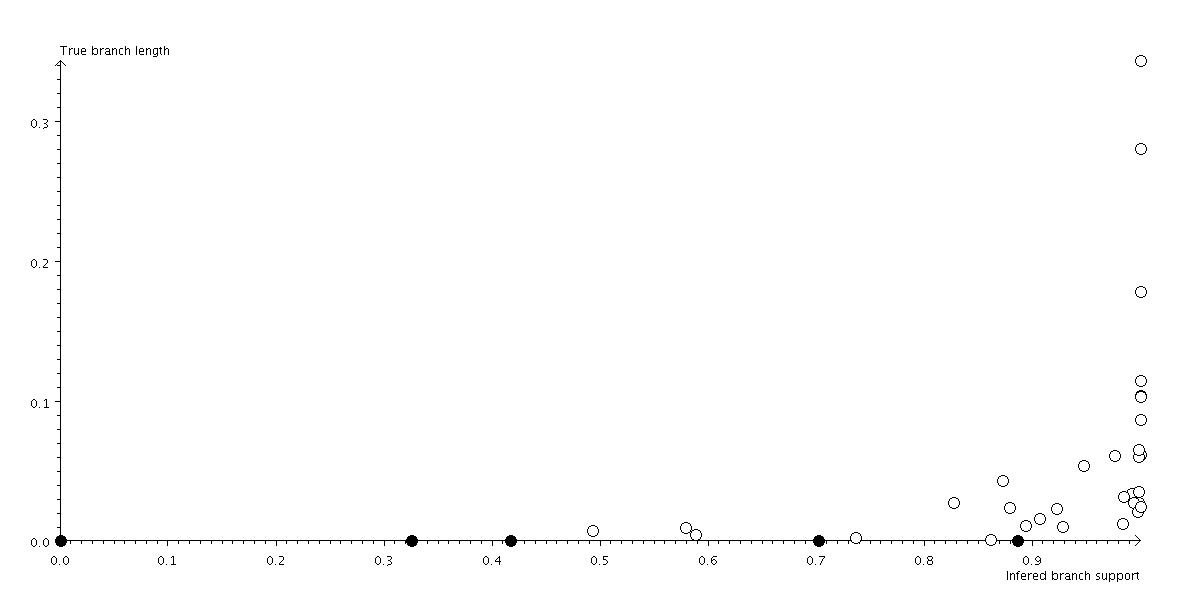
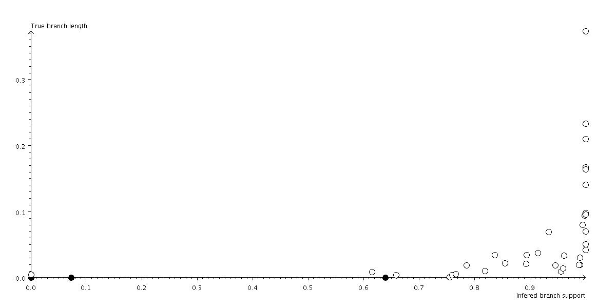
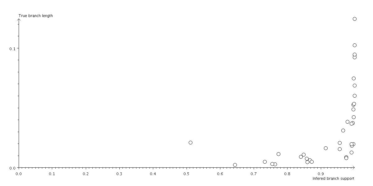
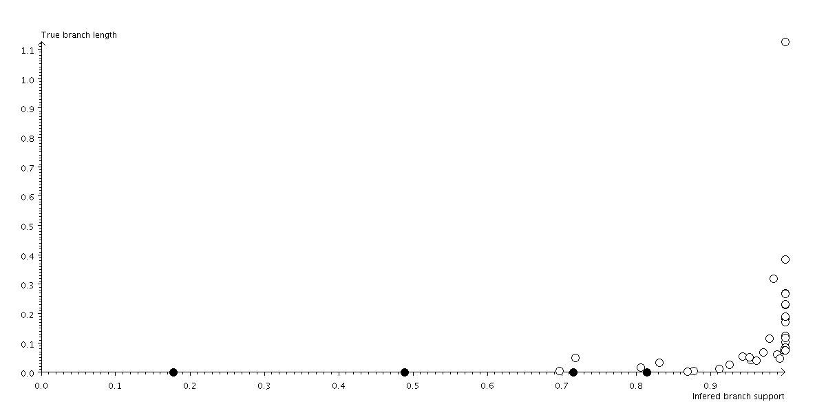
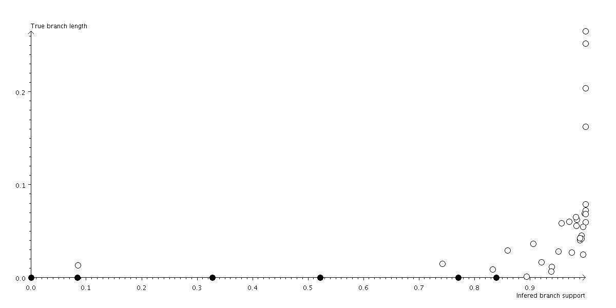
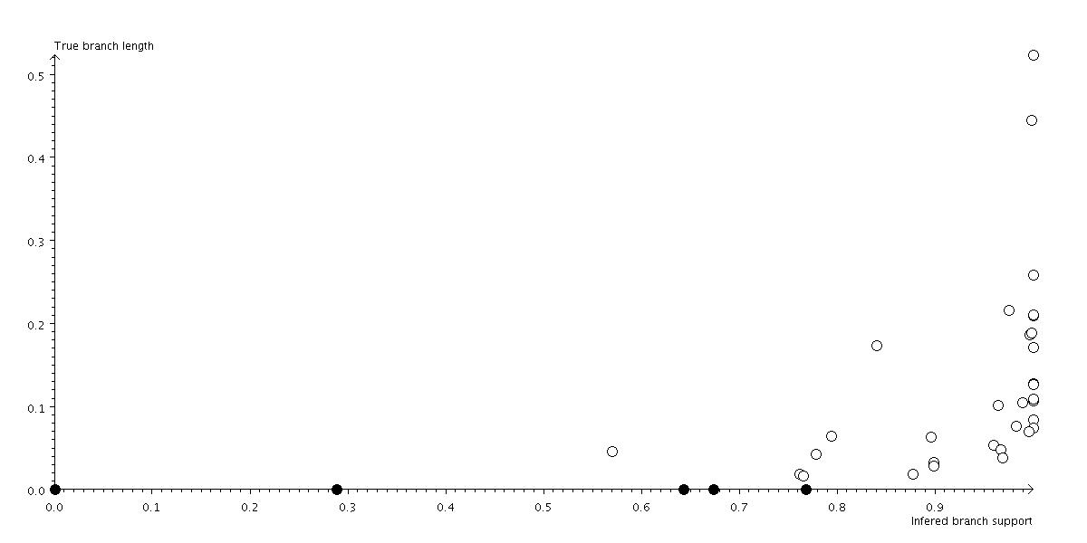
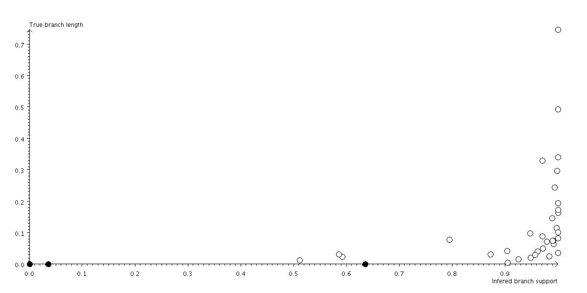
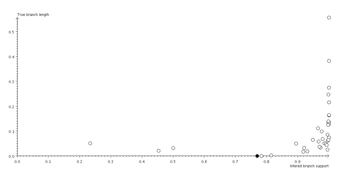
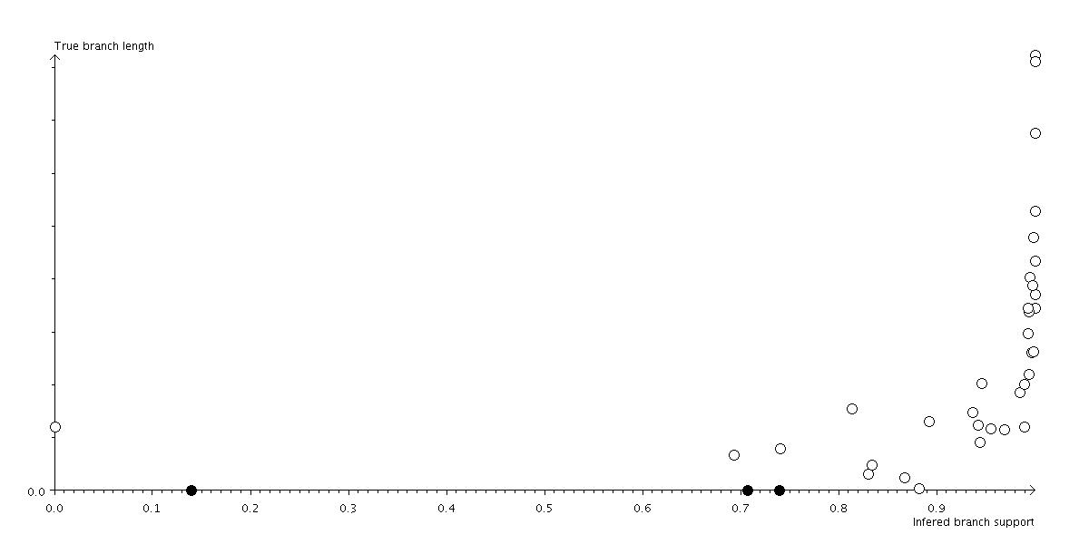
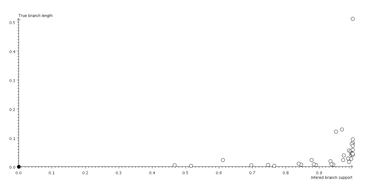
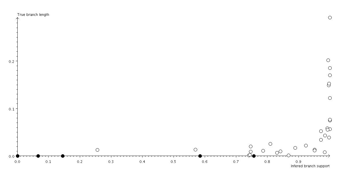
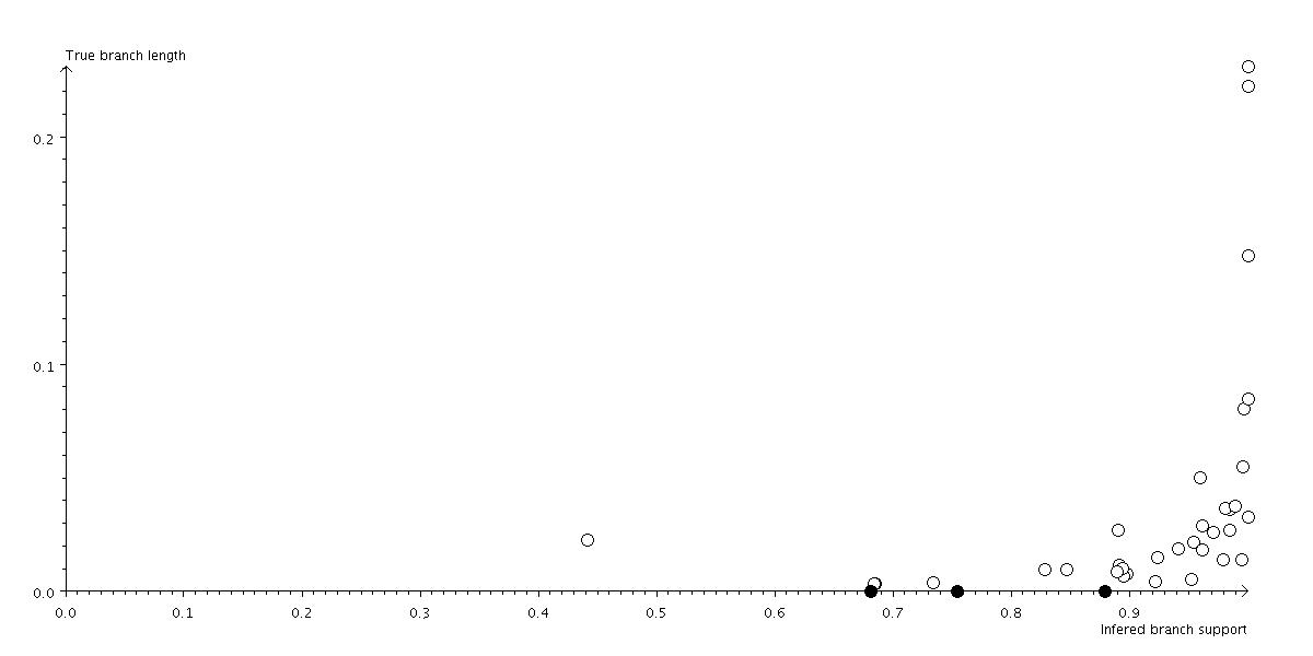
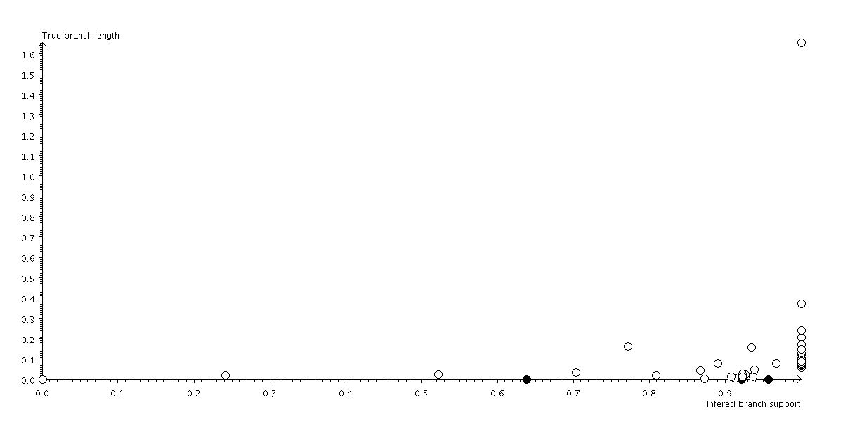
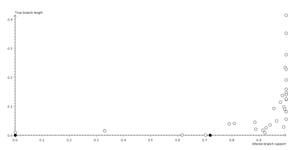
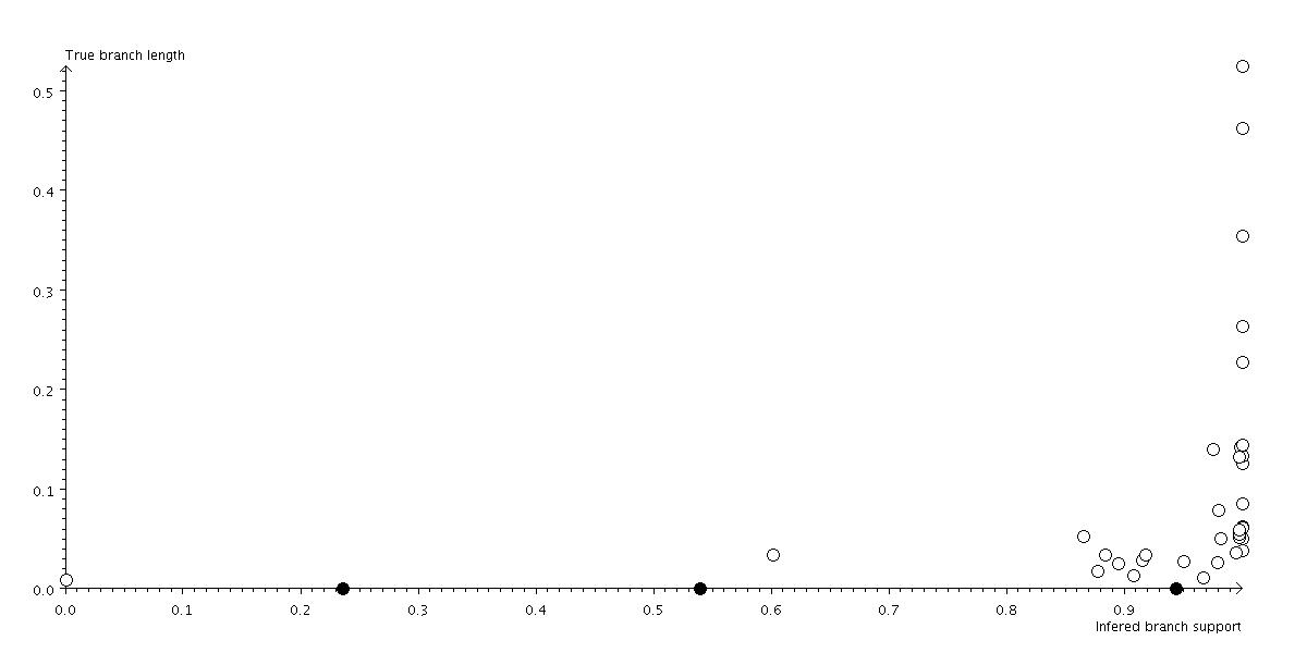
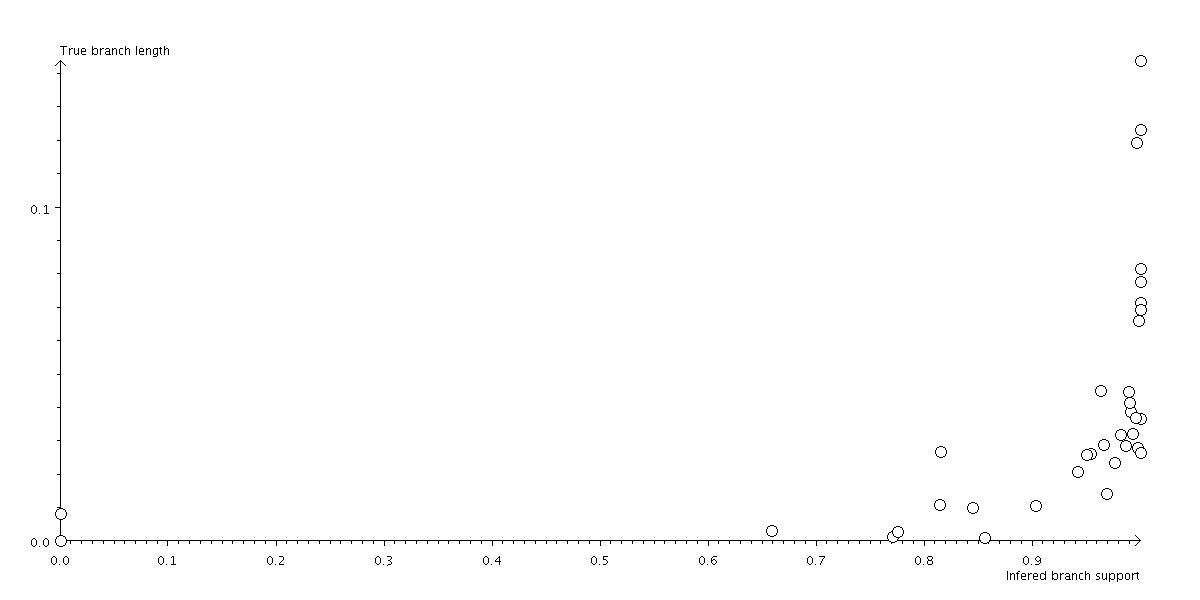
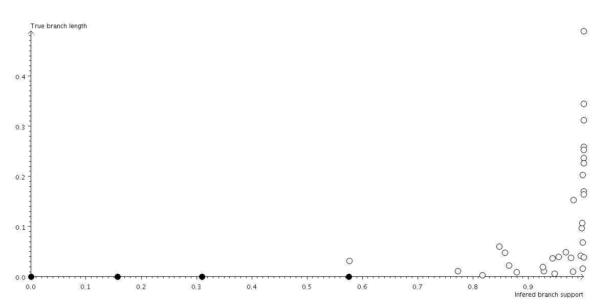
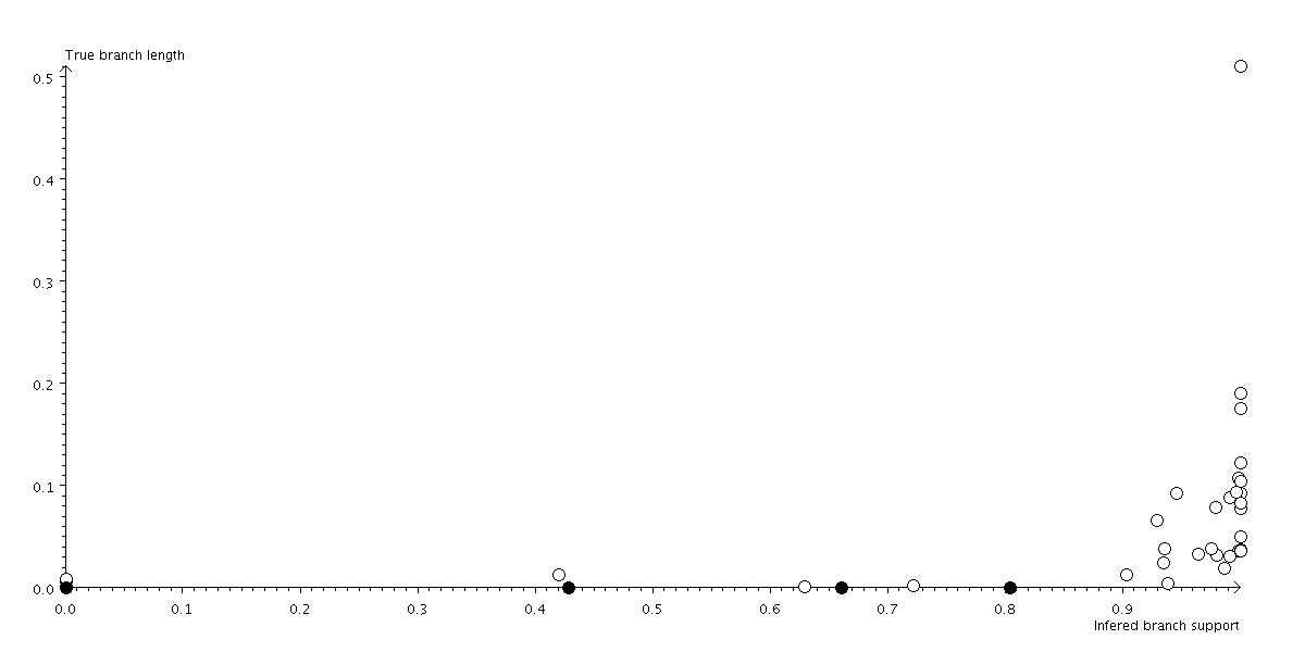
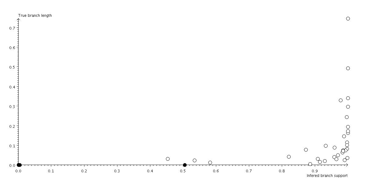
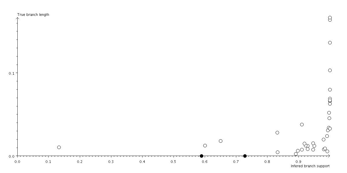
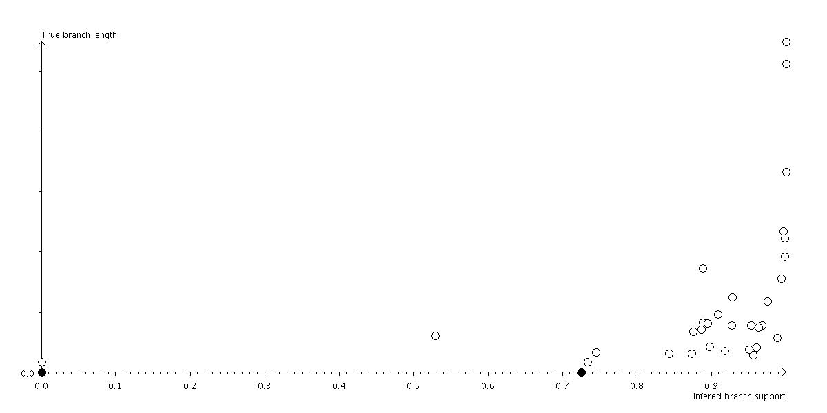
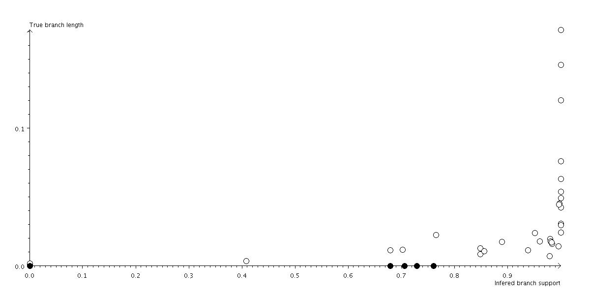
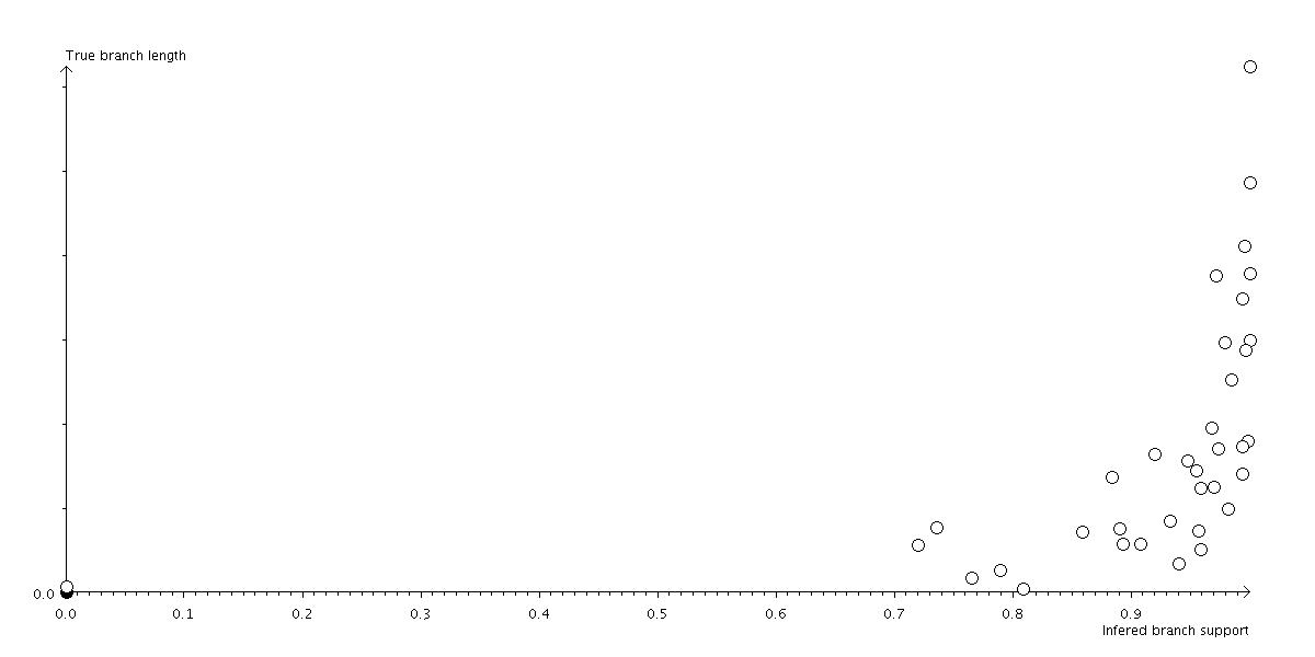
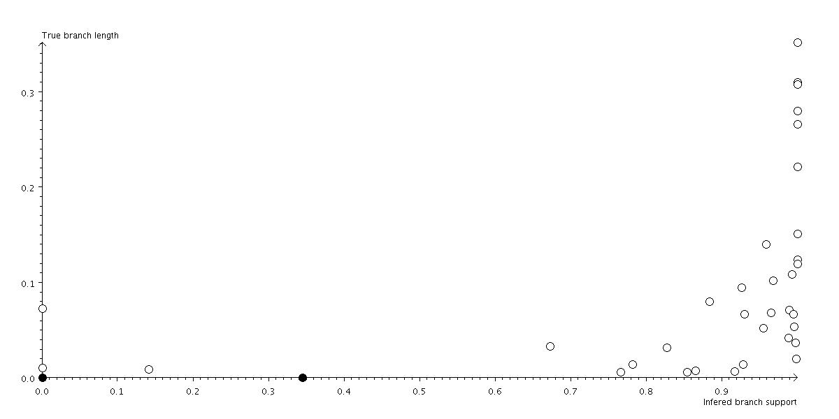
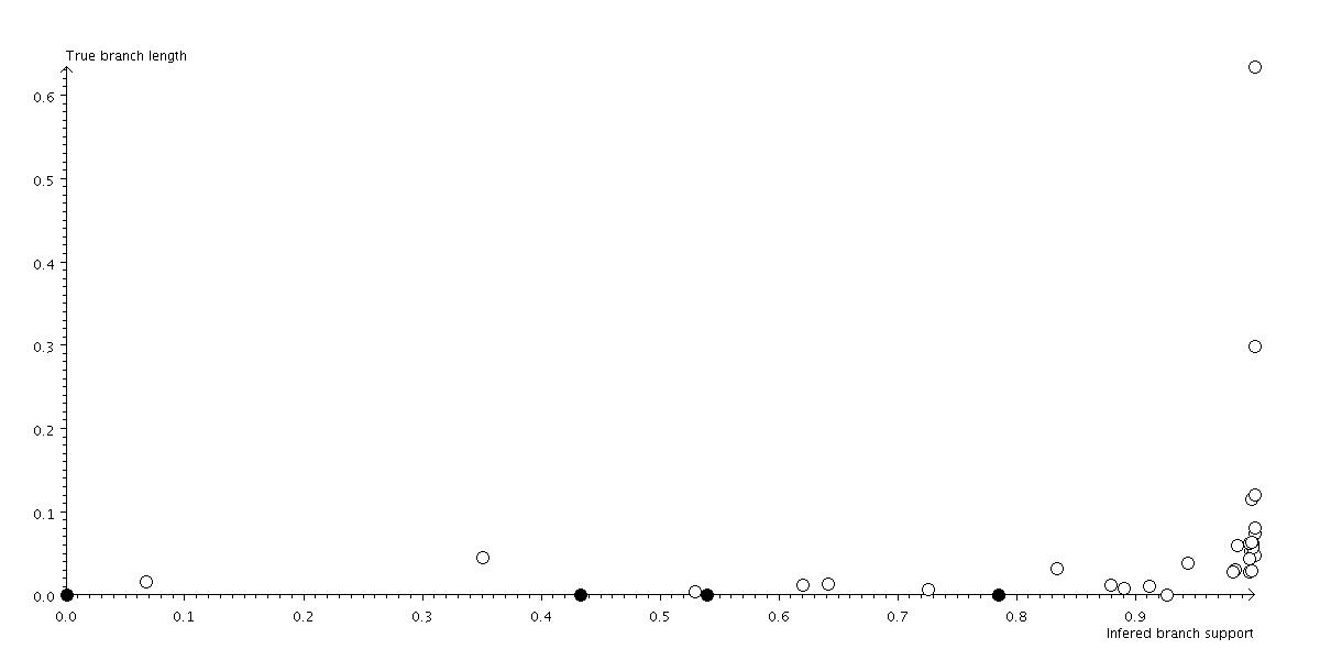
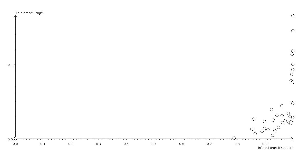
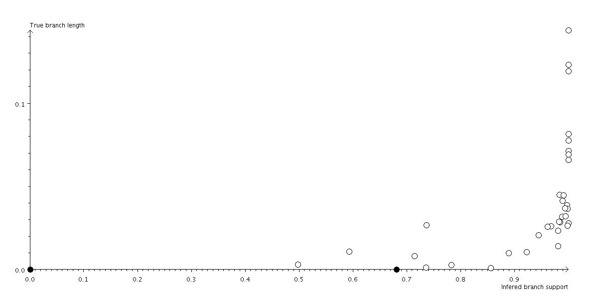
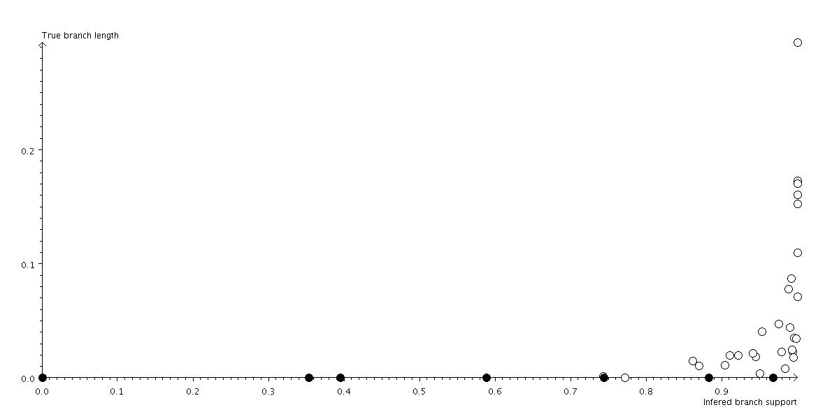
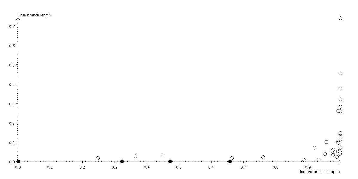
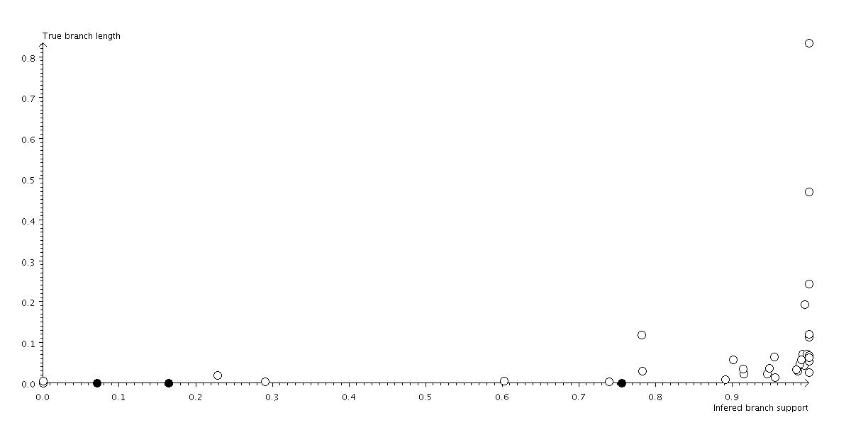
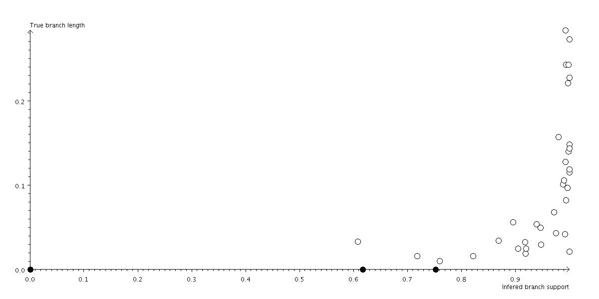
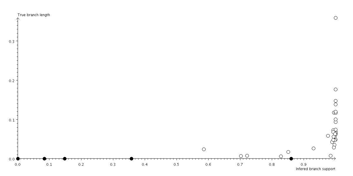
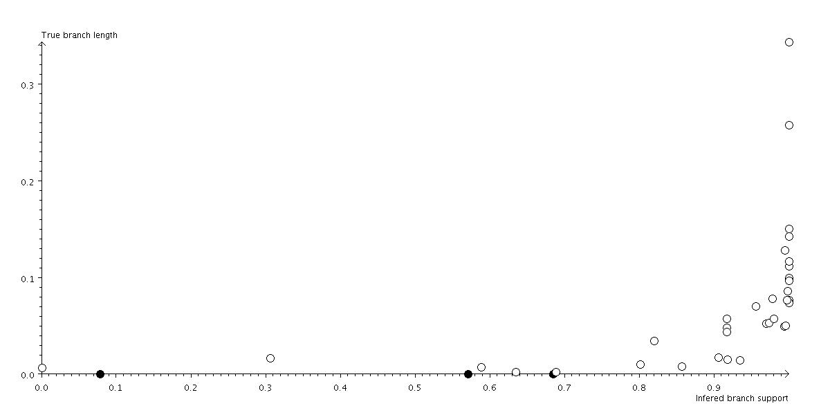
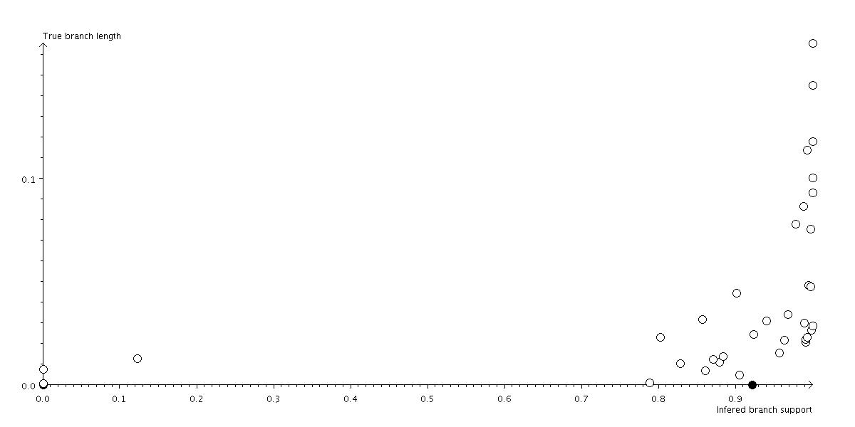
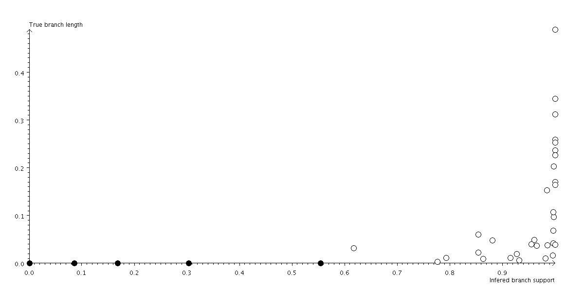
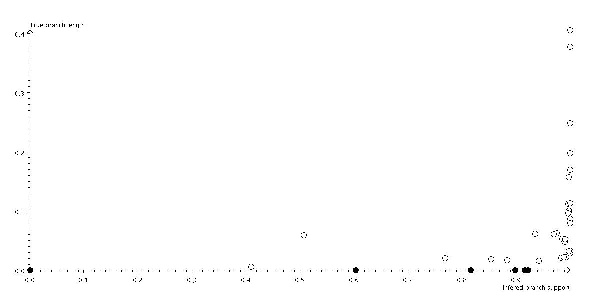
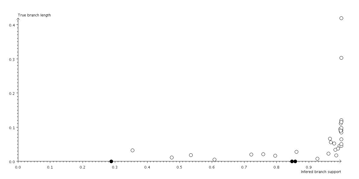
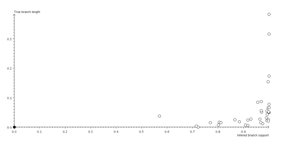
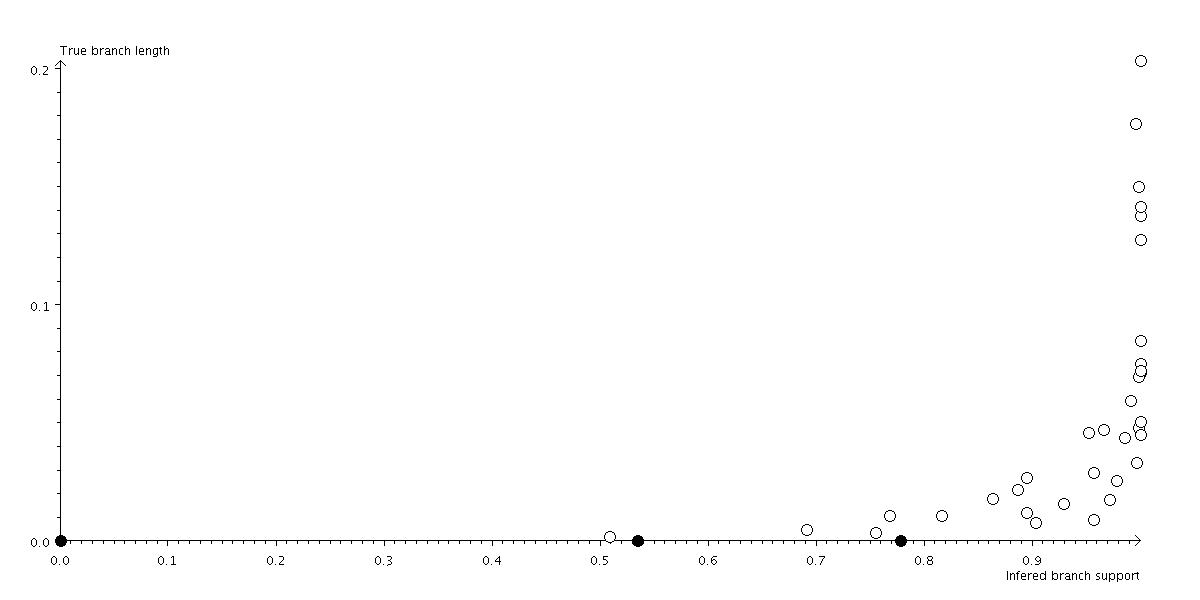
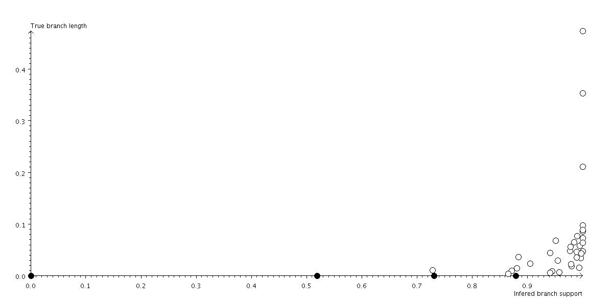
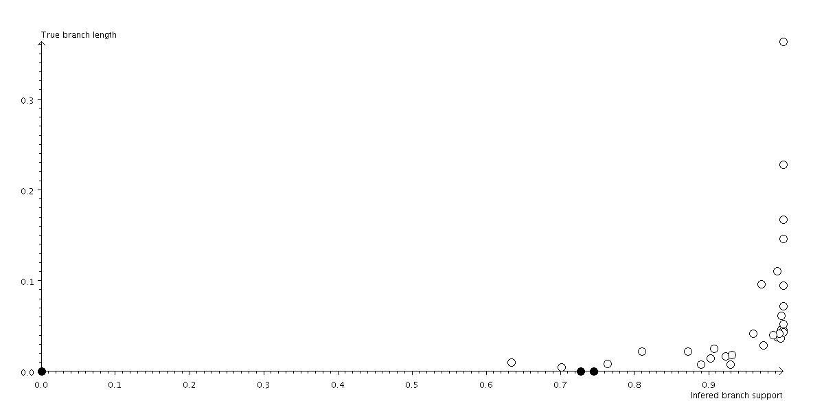
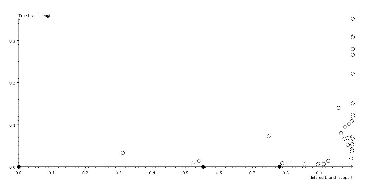
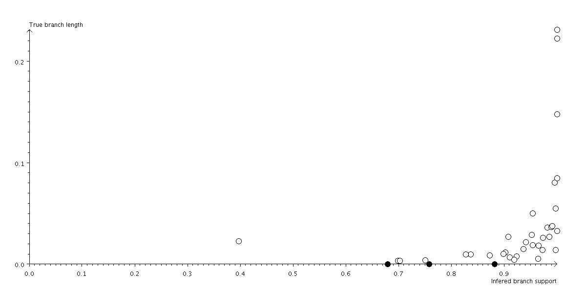
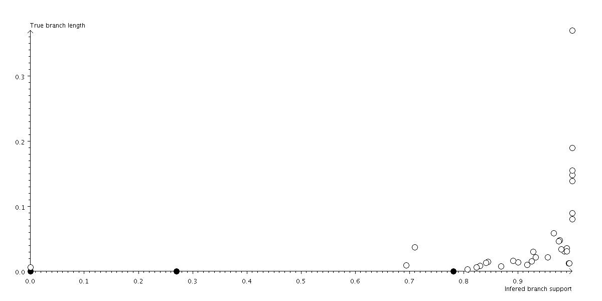
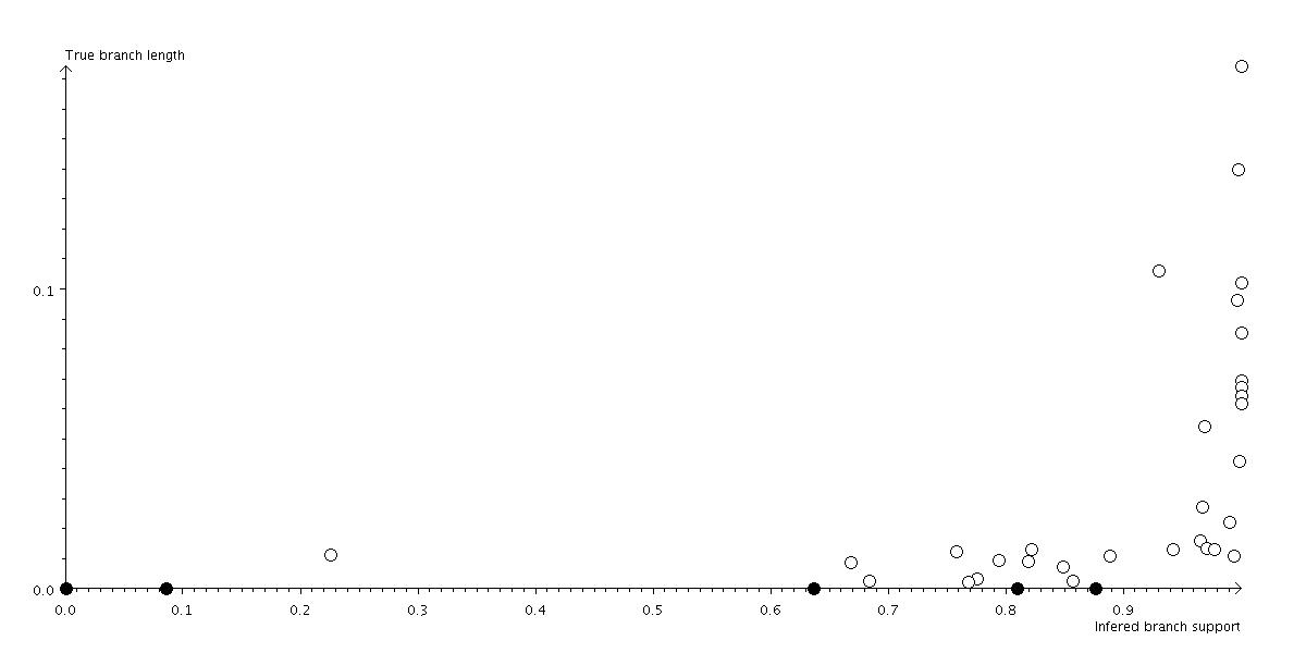
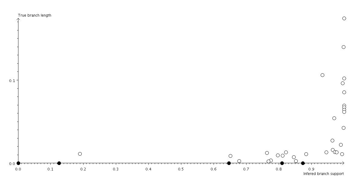
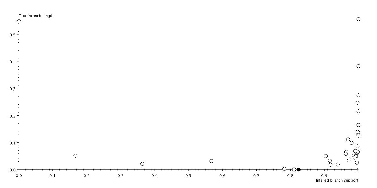
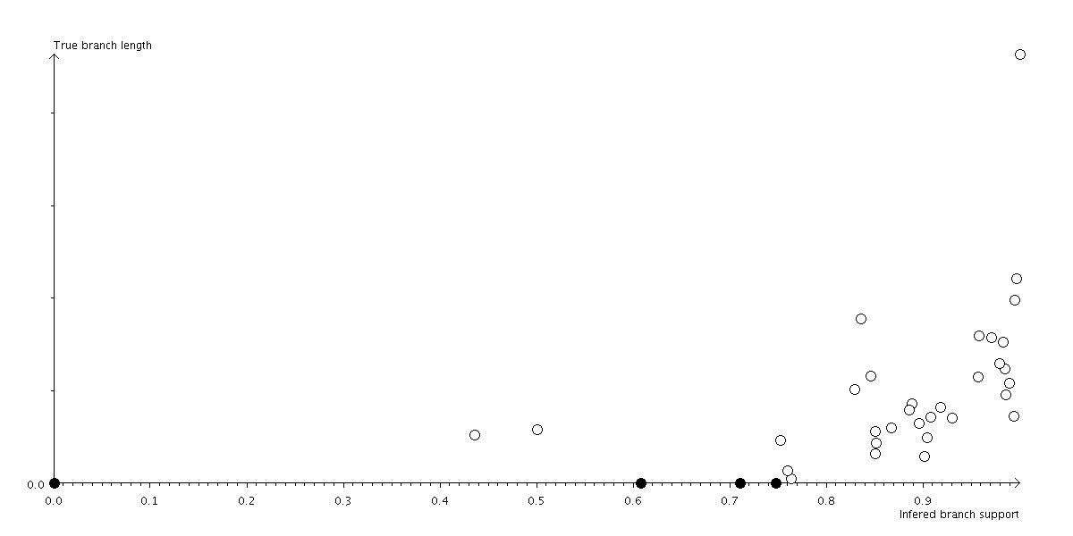
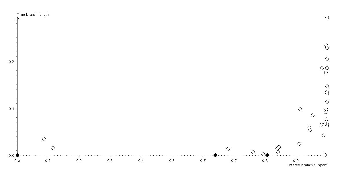
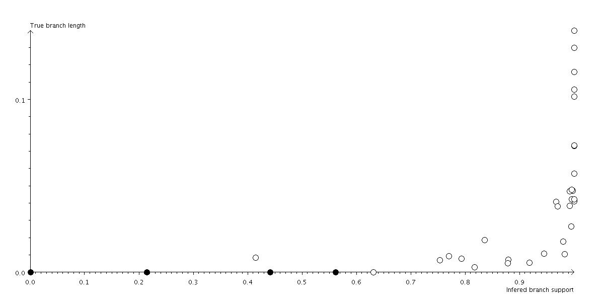
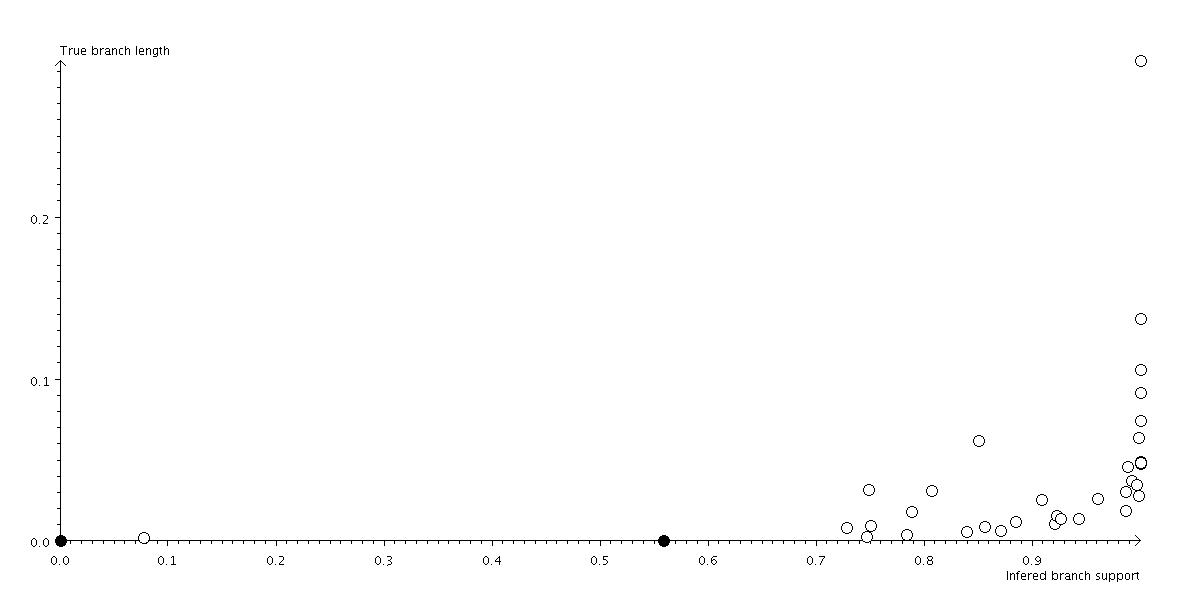
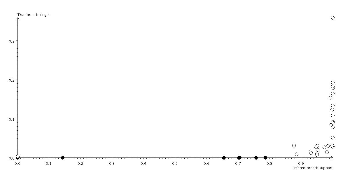
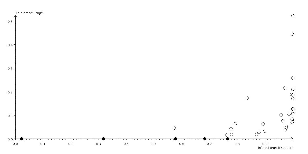
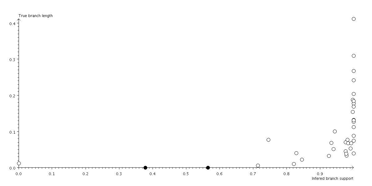
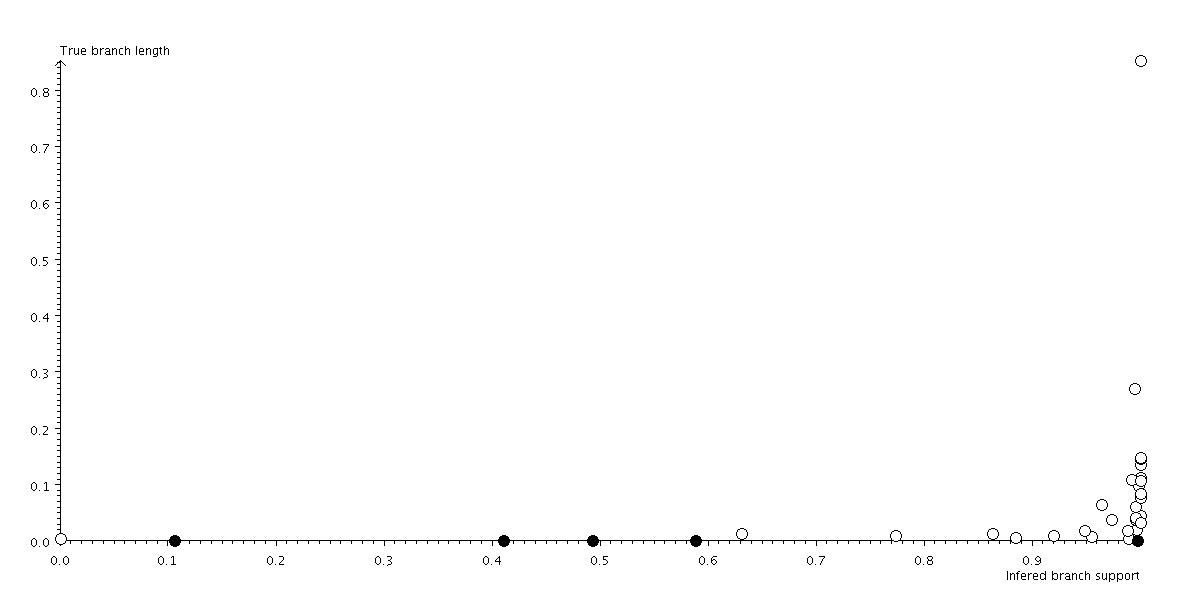
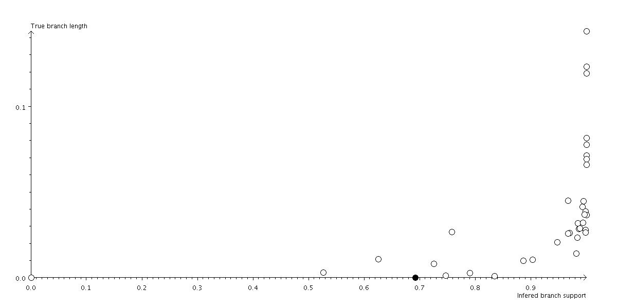
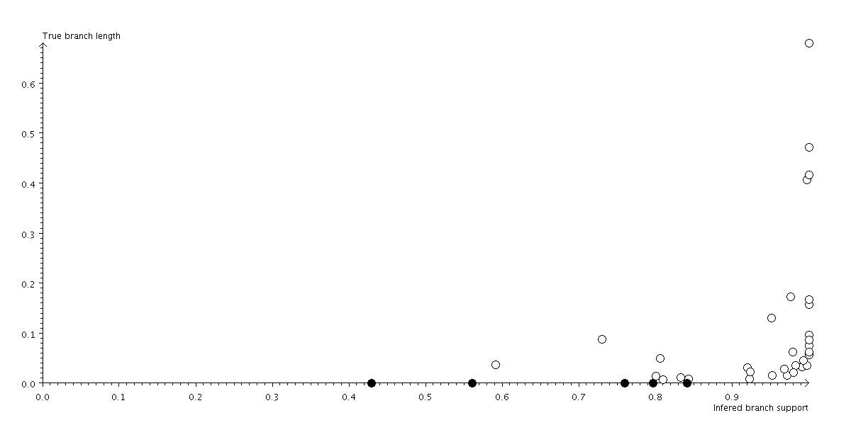
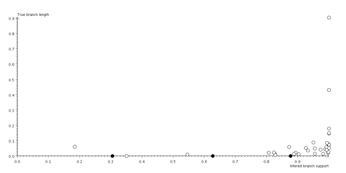
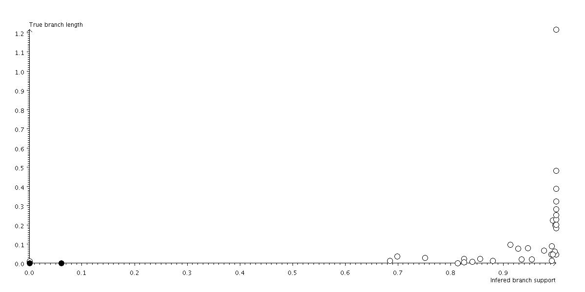
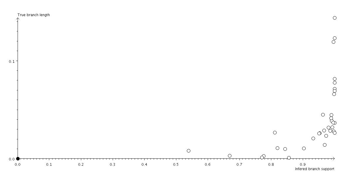
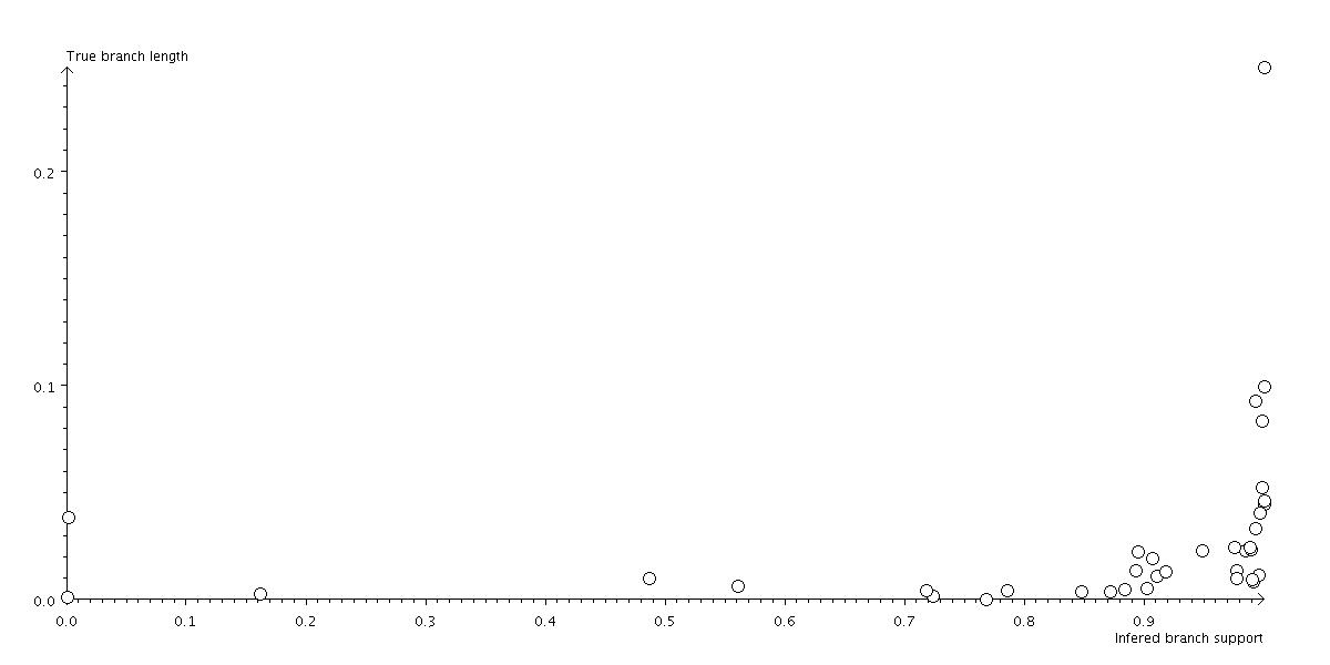
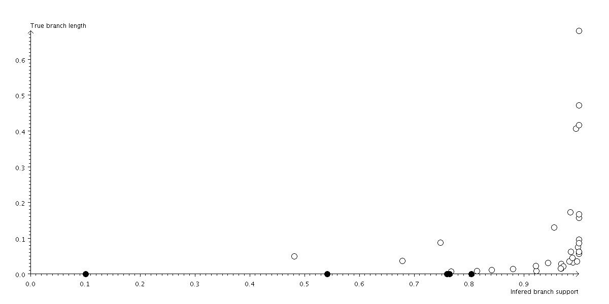
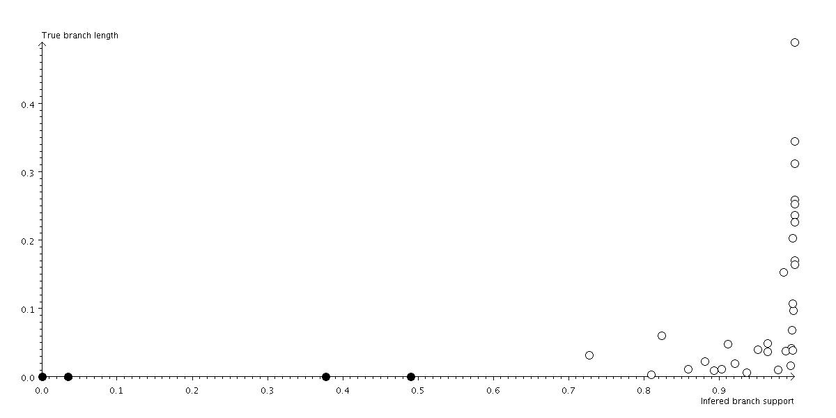
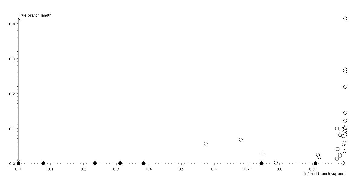
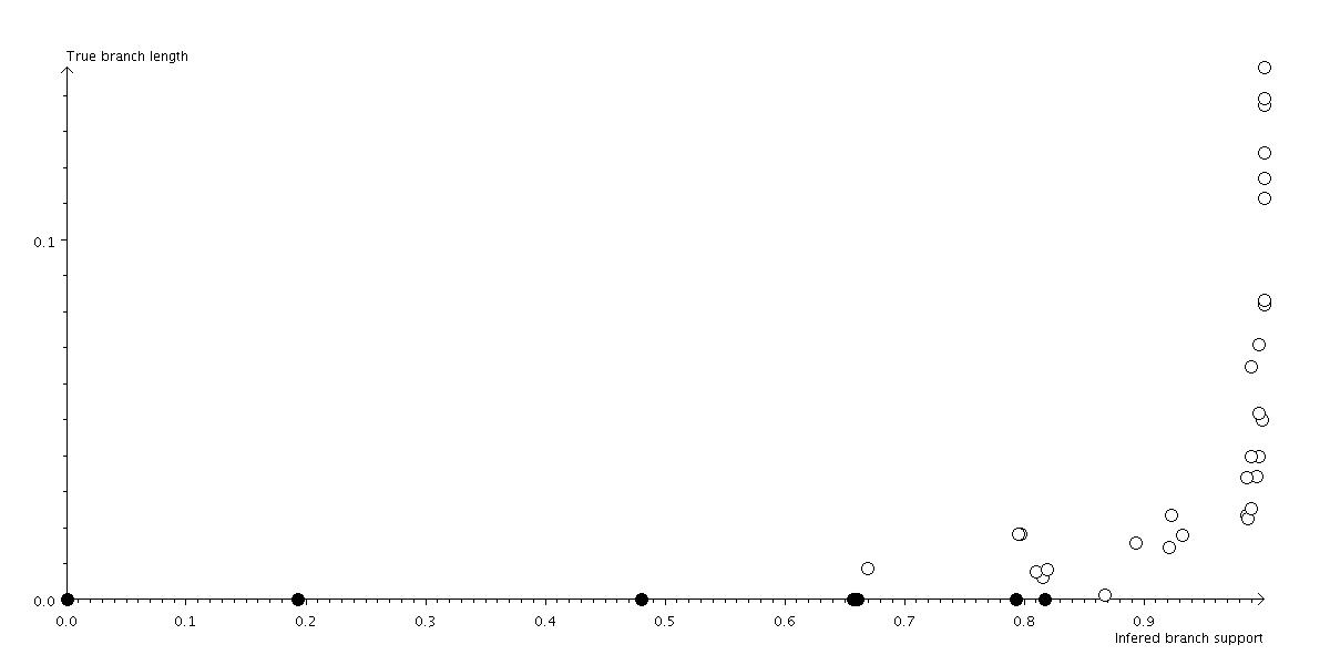
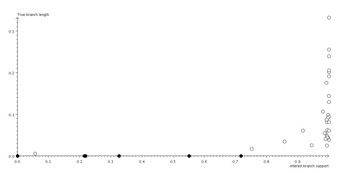
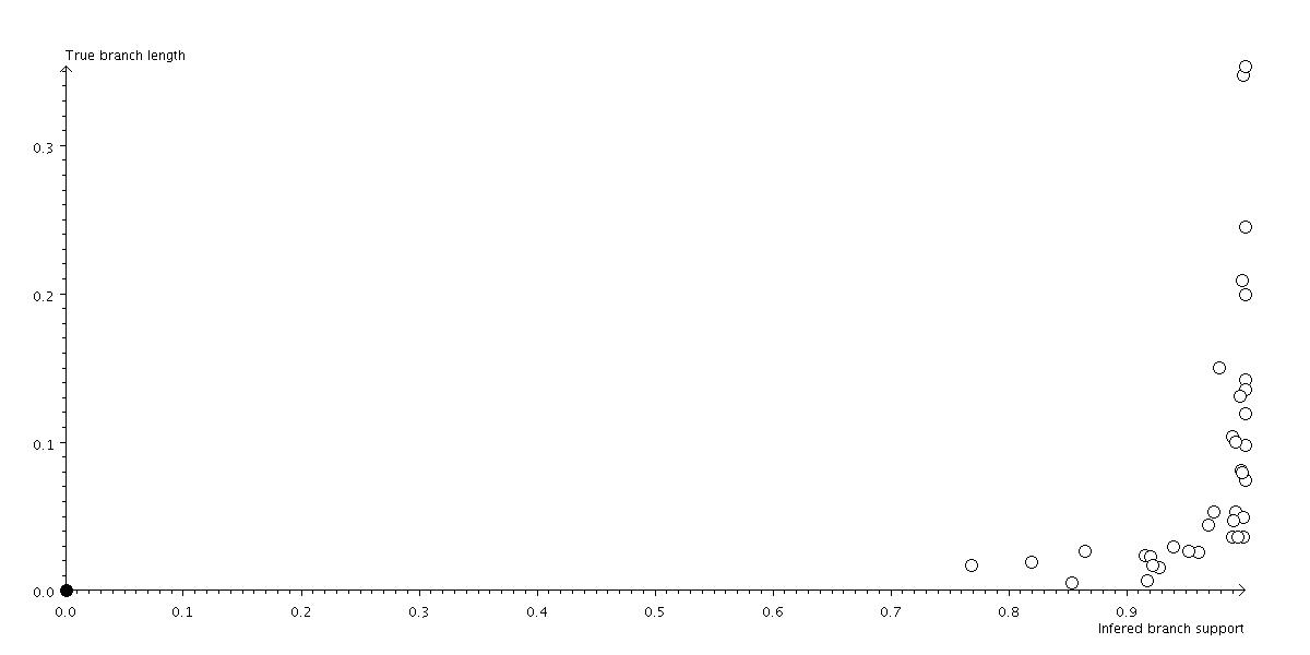
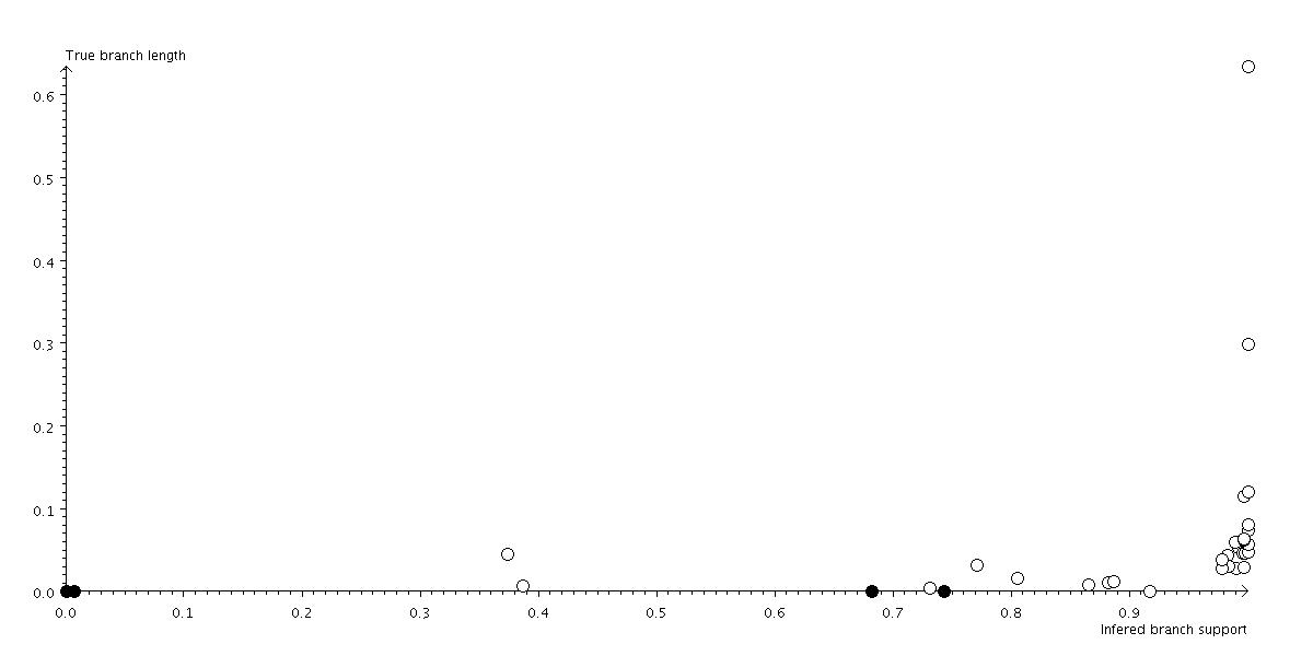
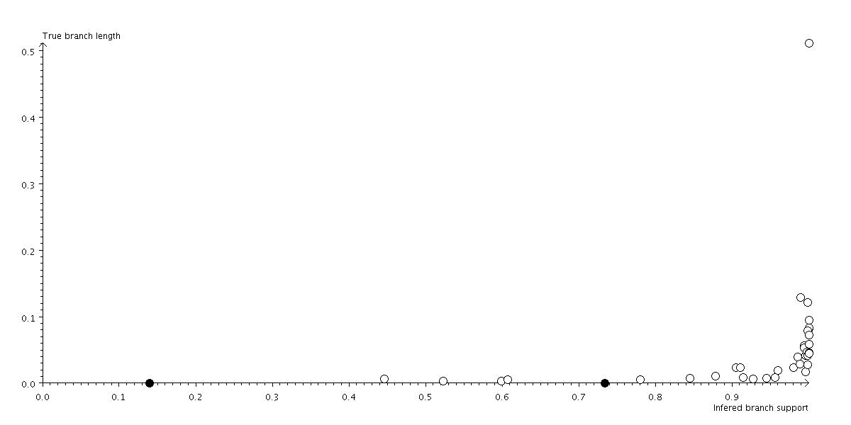
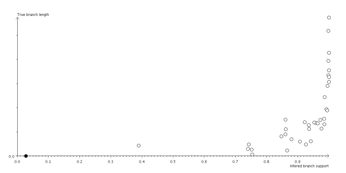
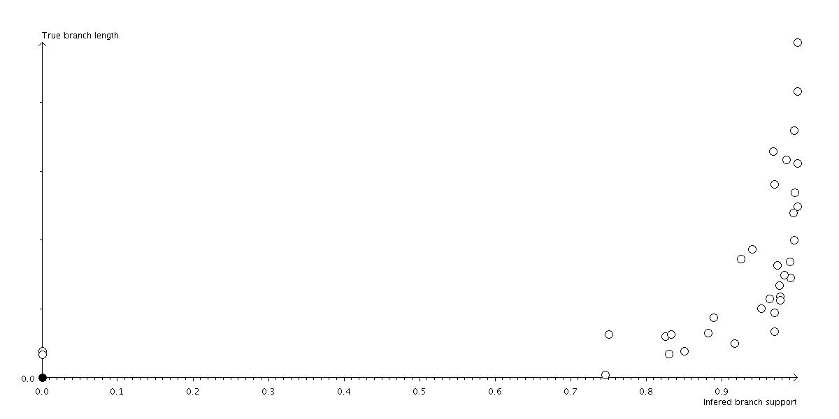
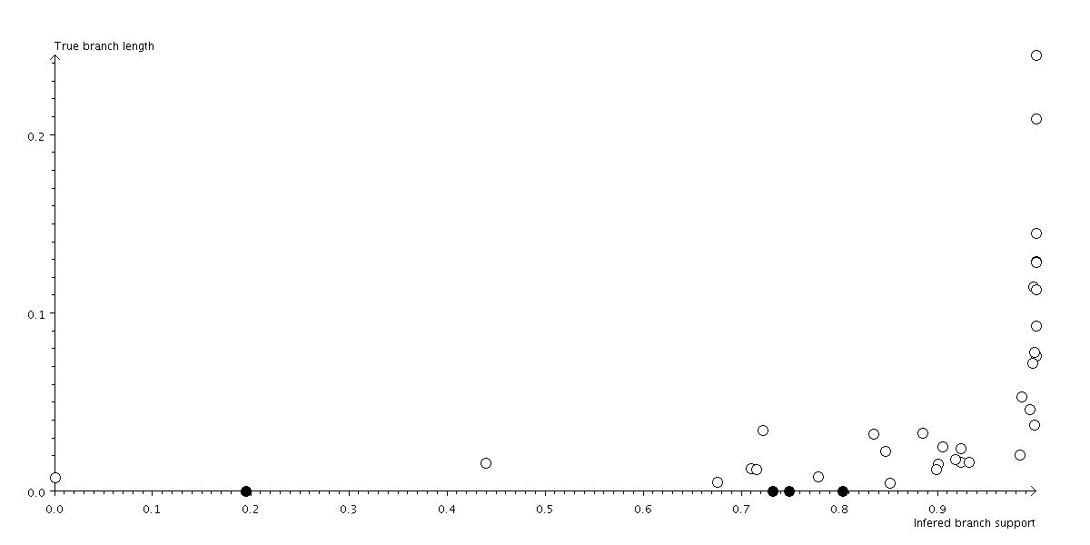
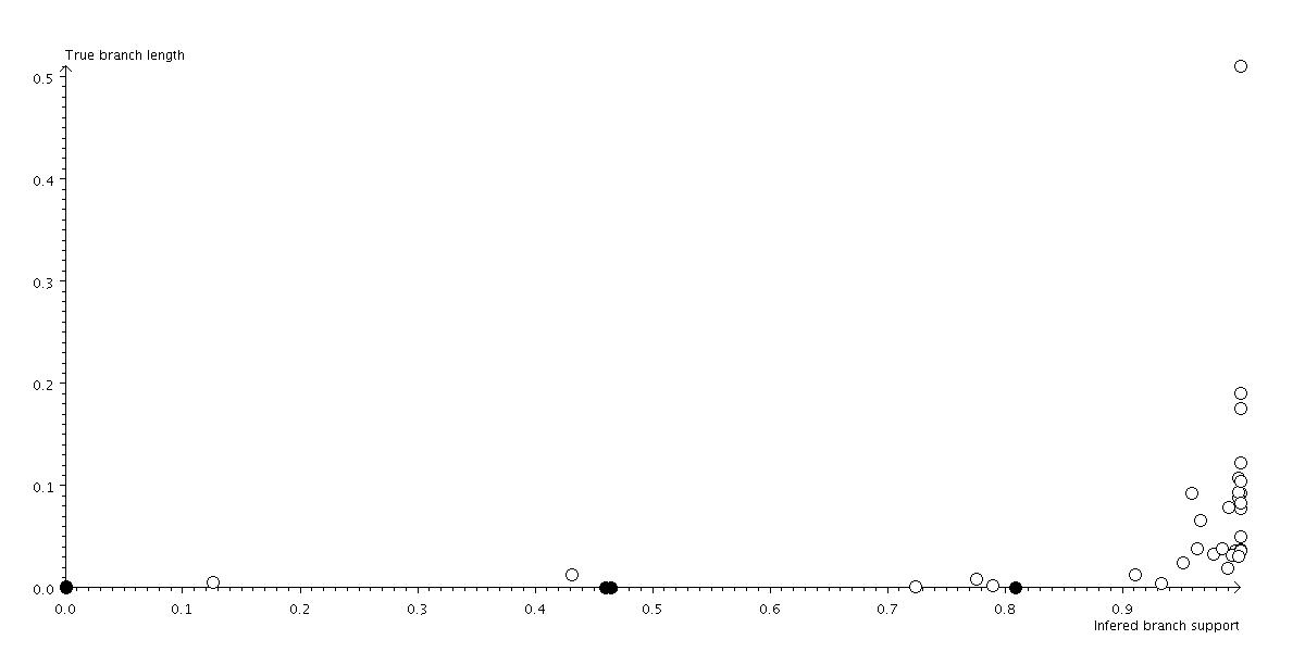
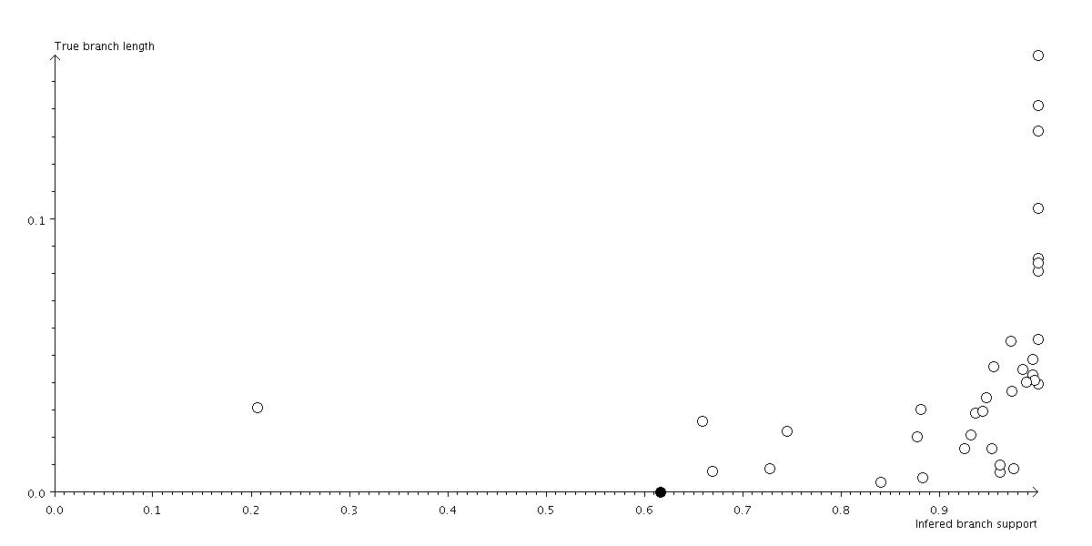
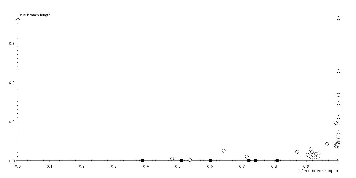
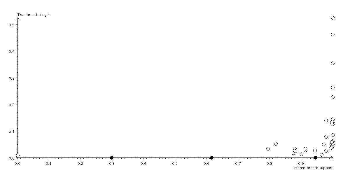
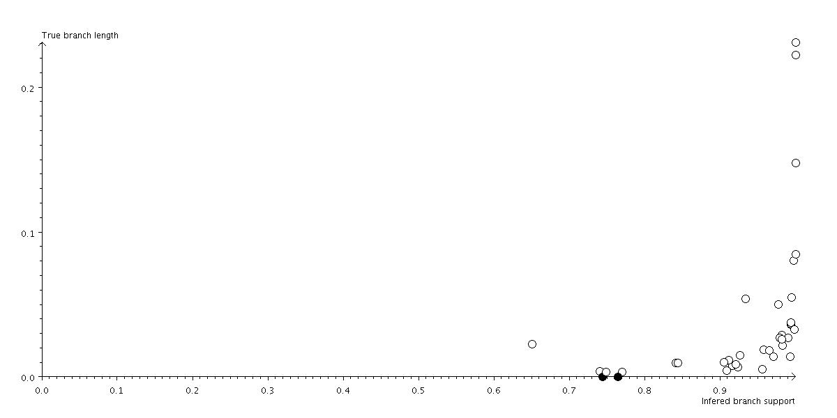
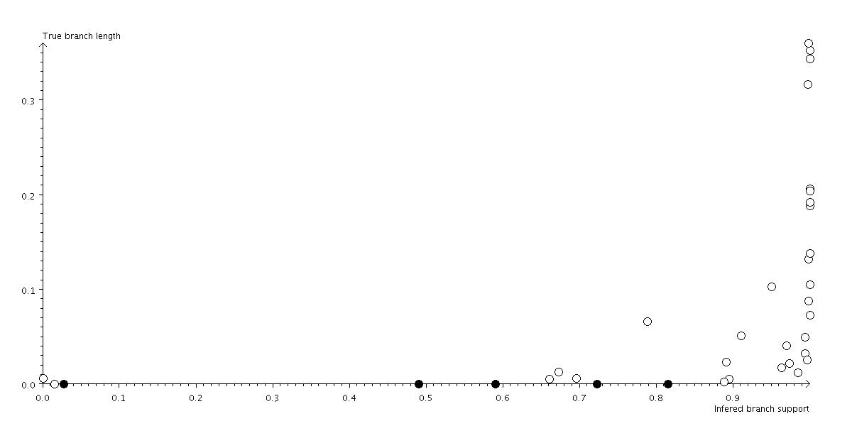
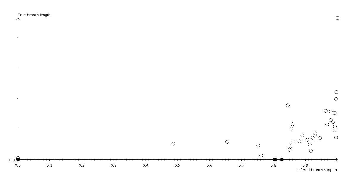
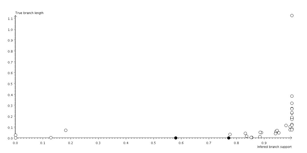
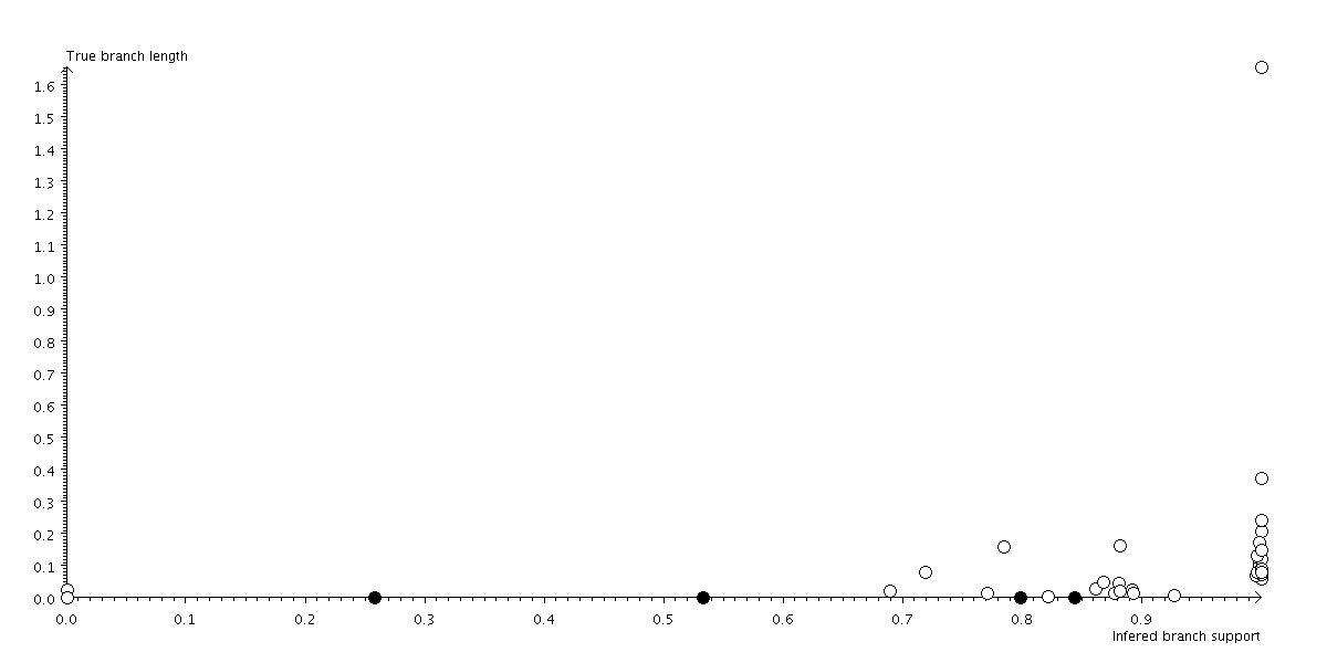
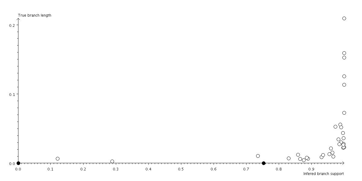
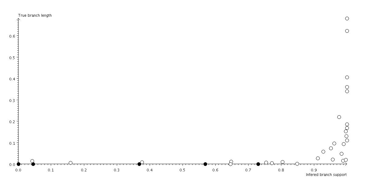
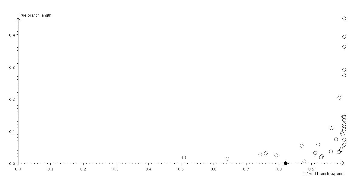
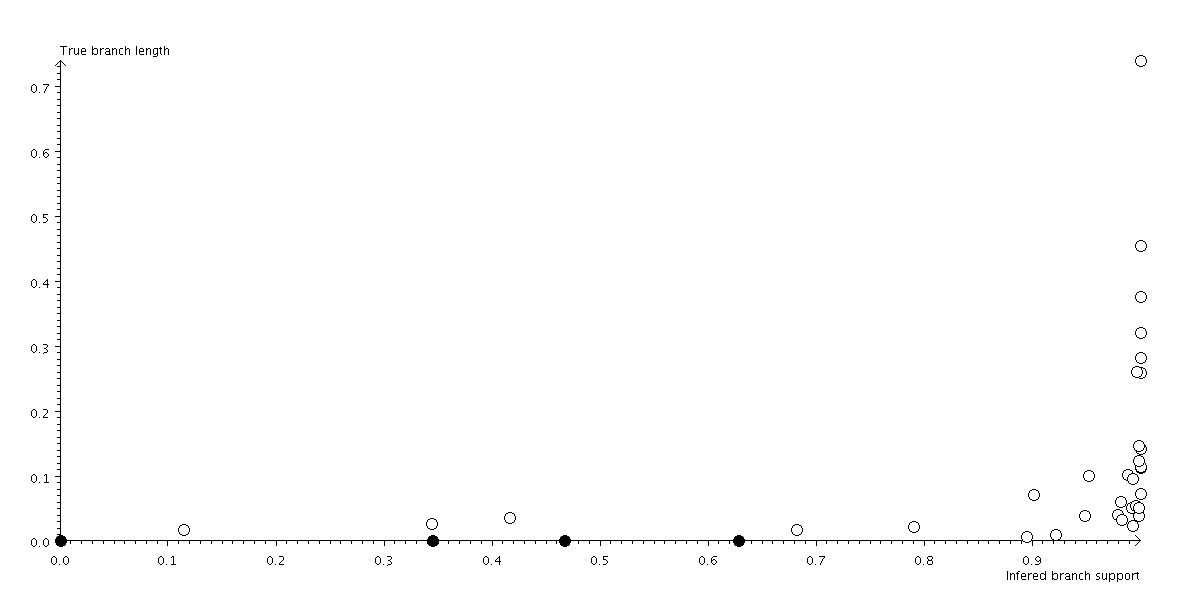
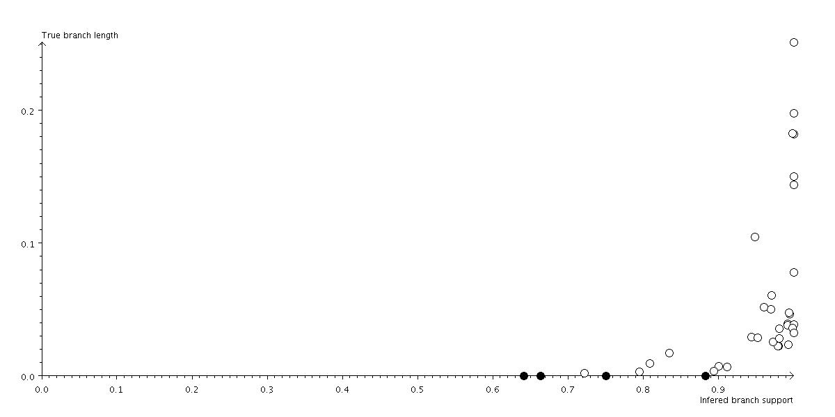
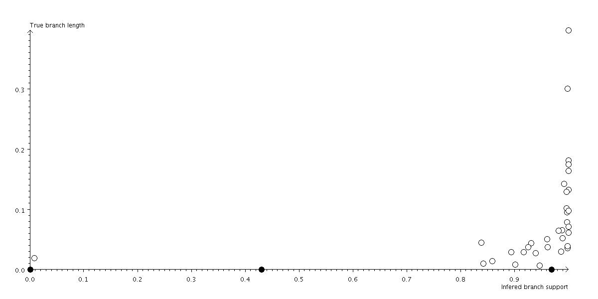
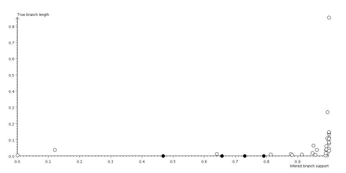
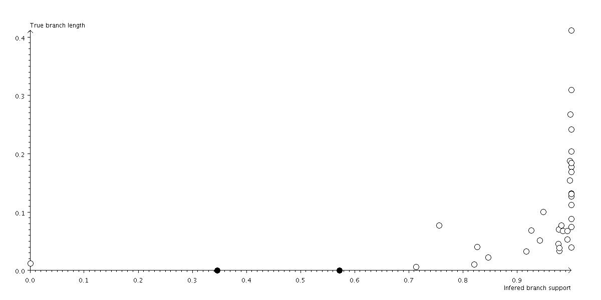
Legend
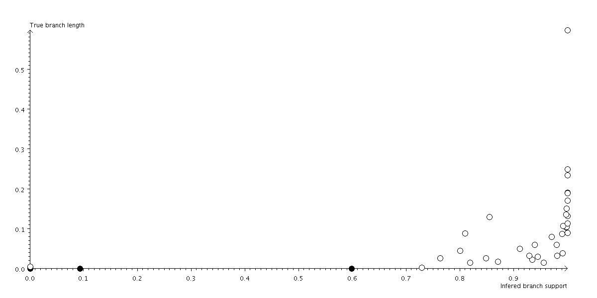
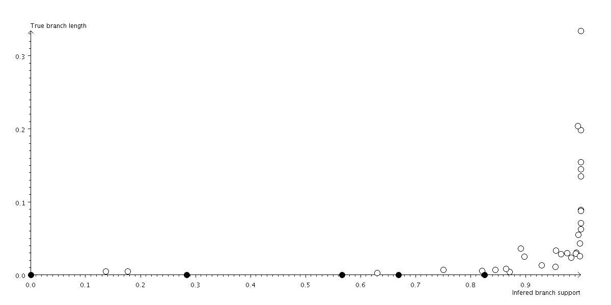
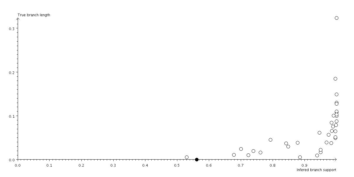
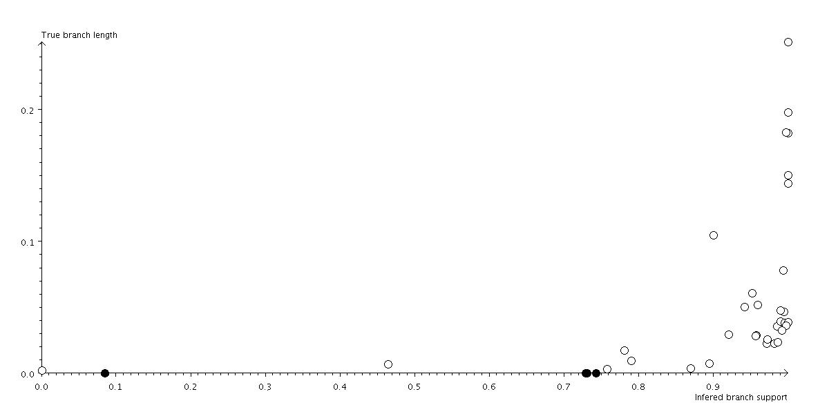
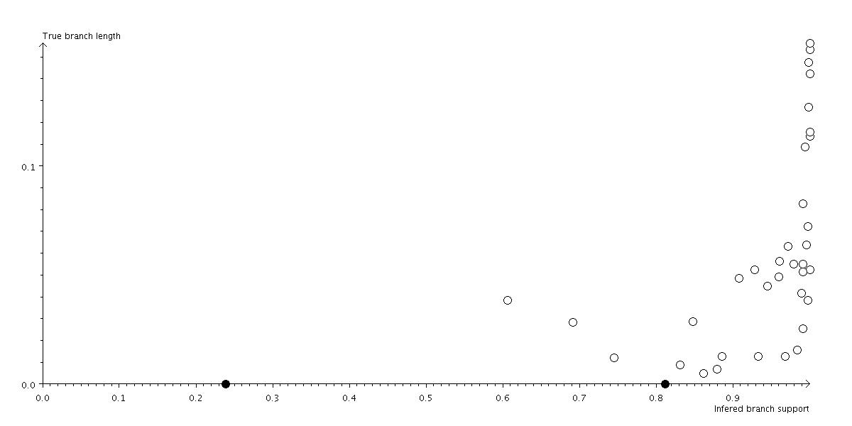
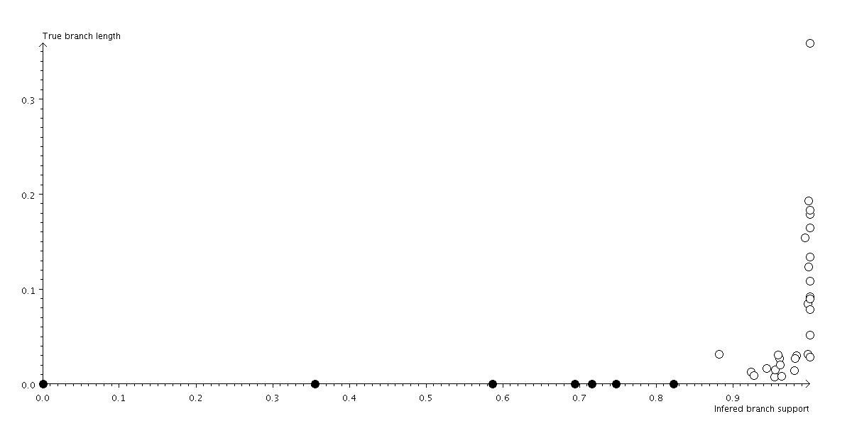
This branch does not exist in the true tree
This branch exists in the true tree
Data:
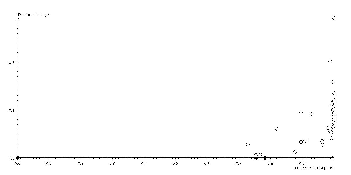
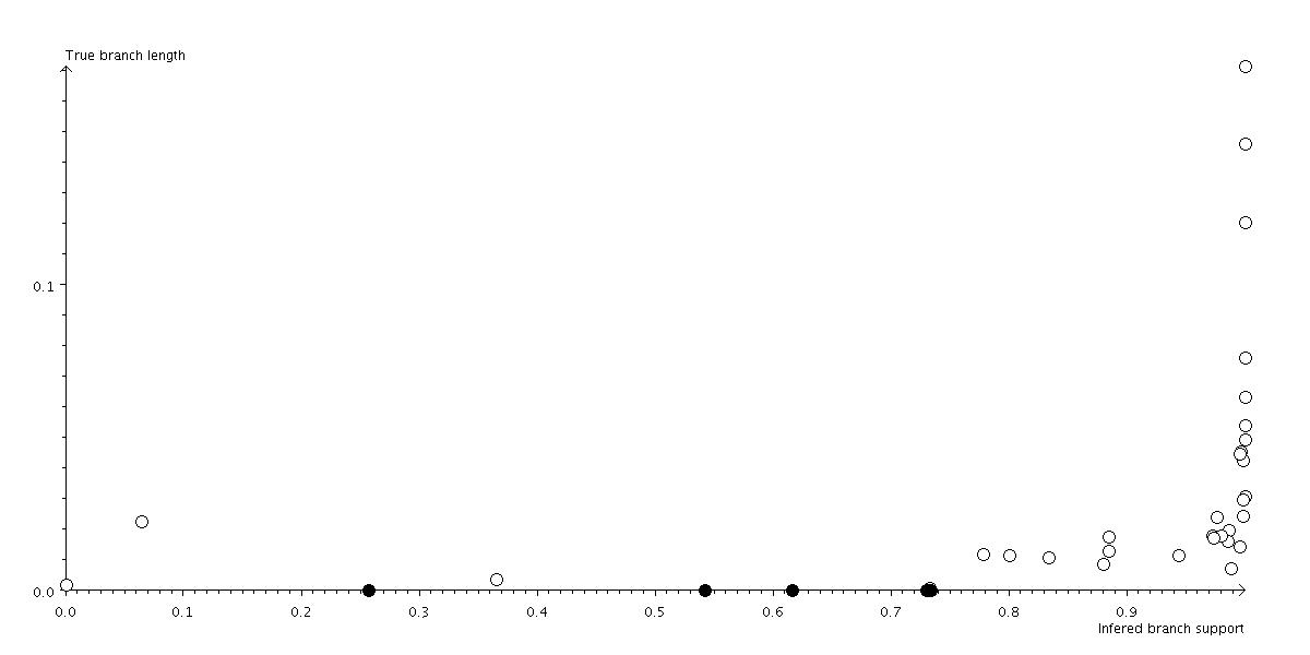
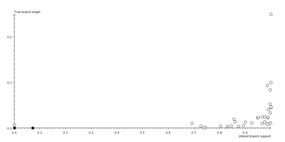
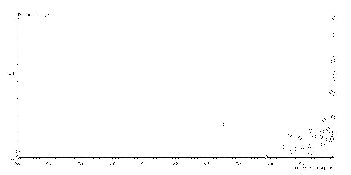
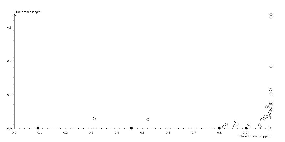
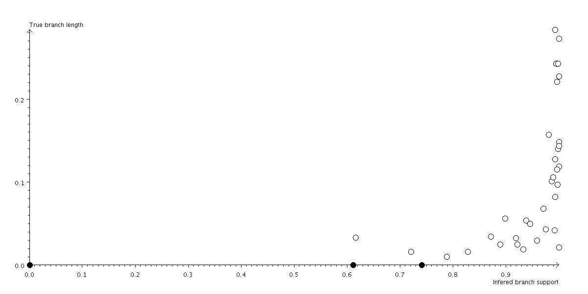
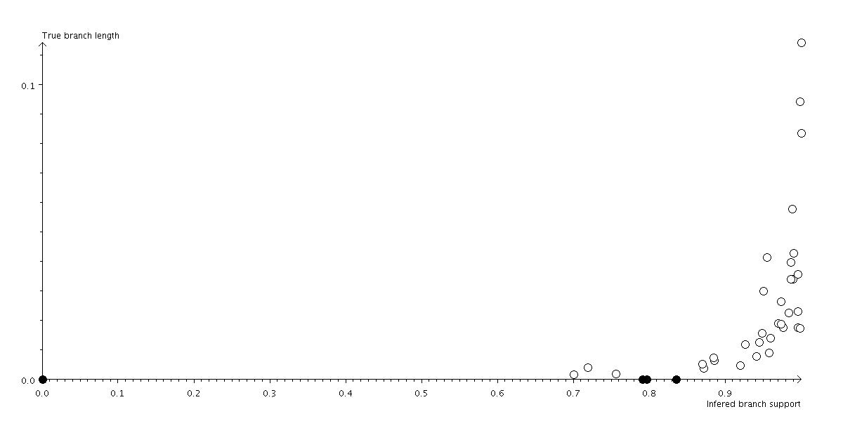
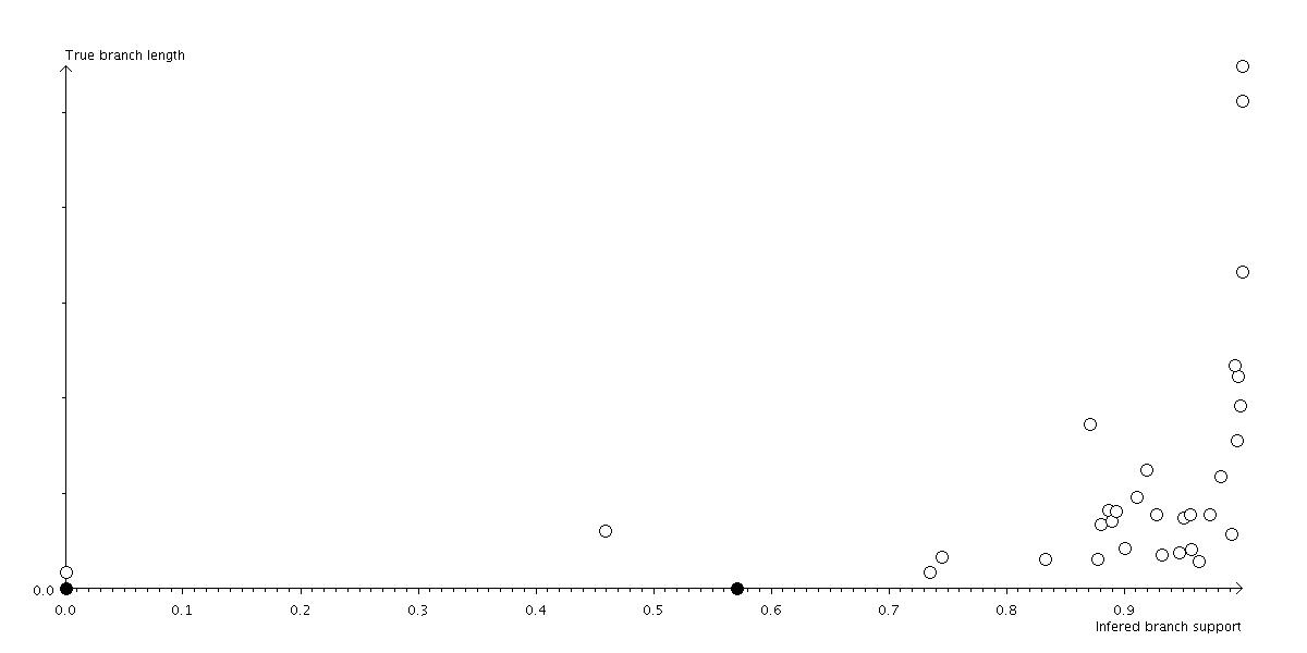
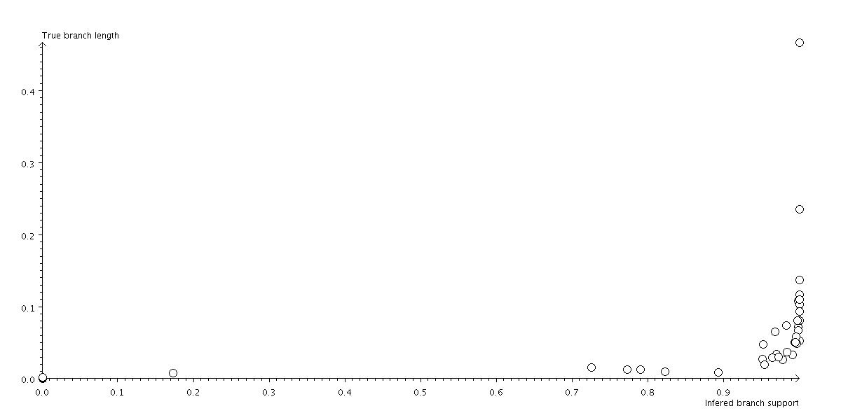
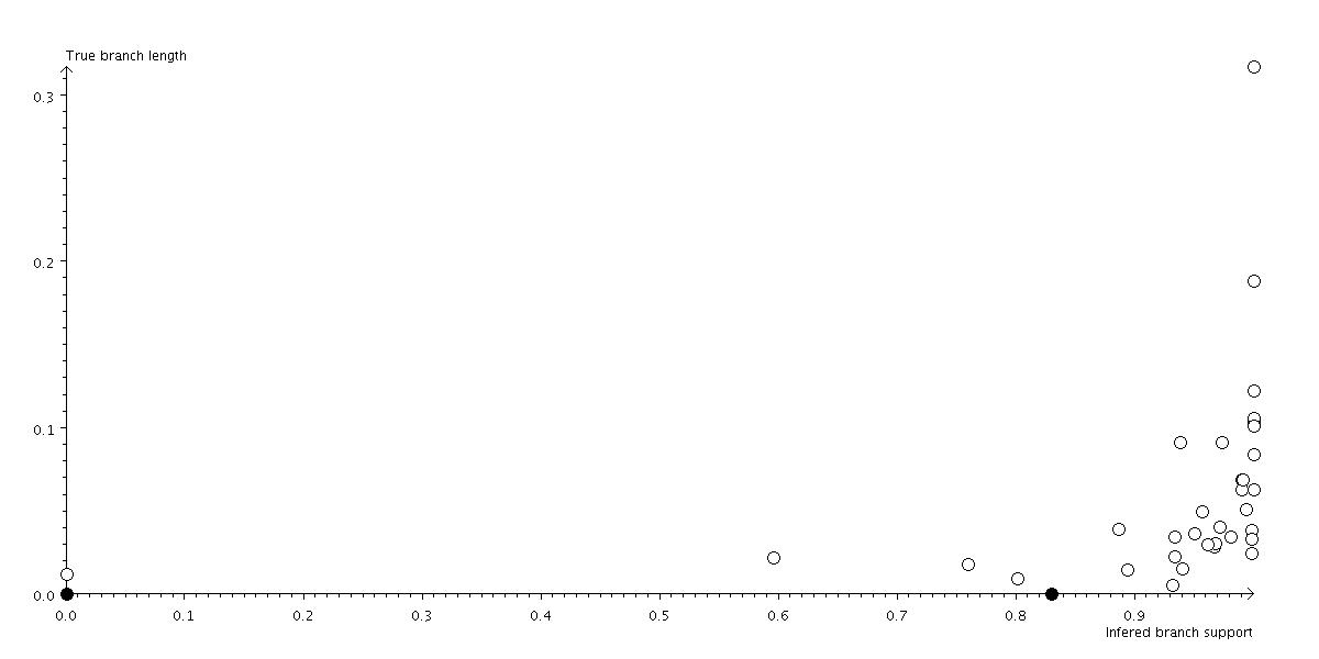
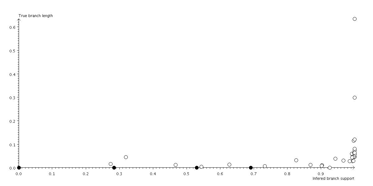
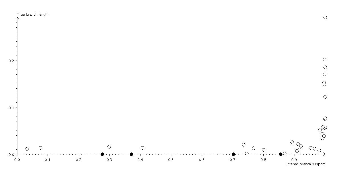
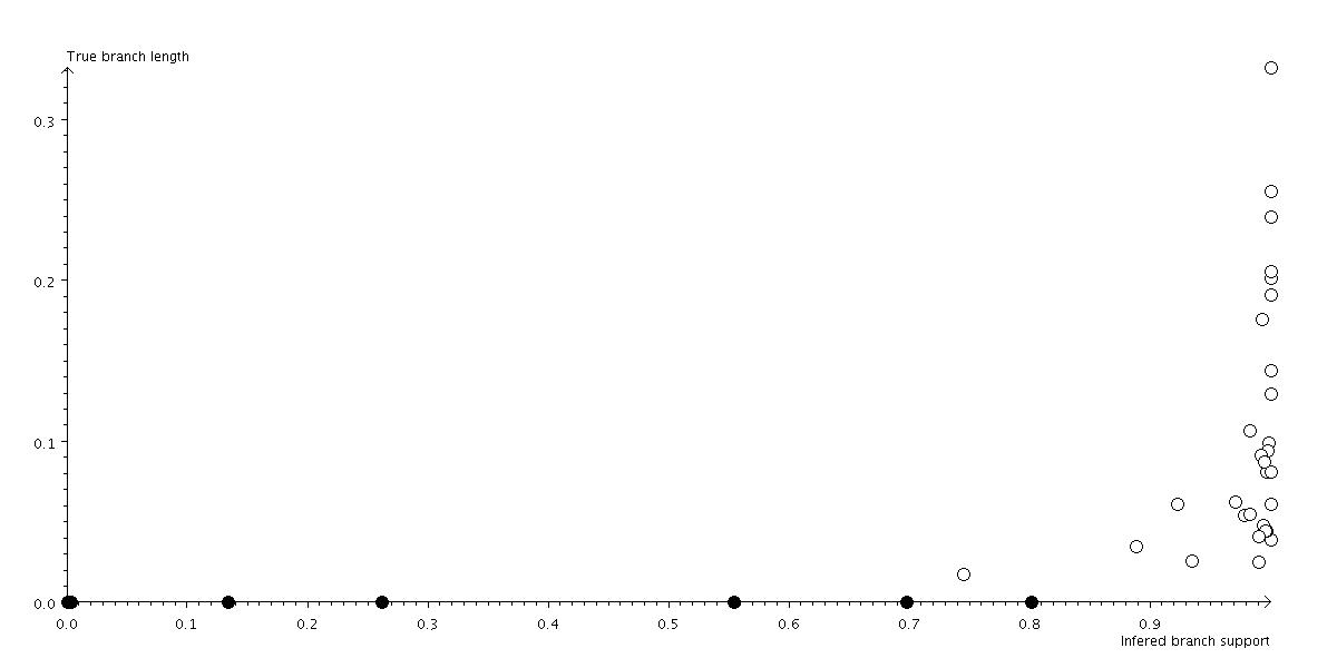
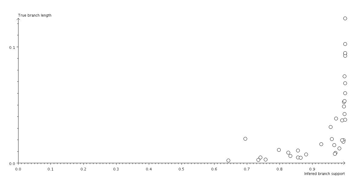
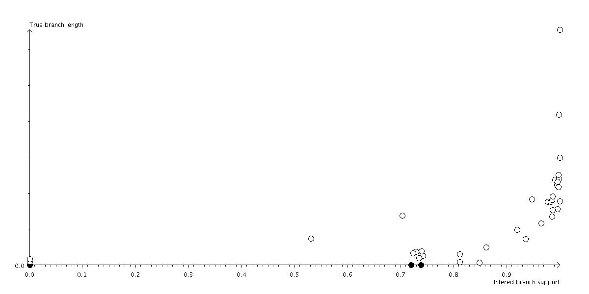
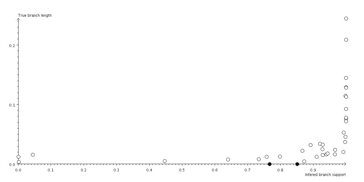
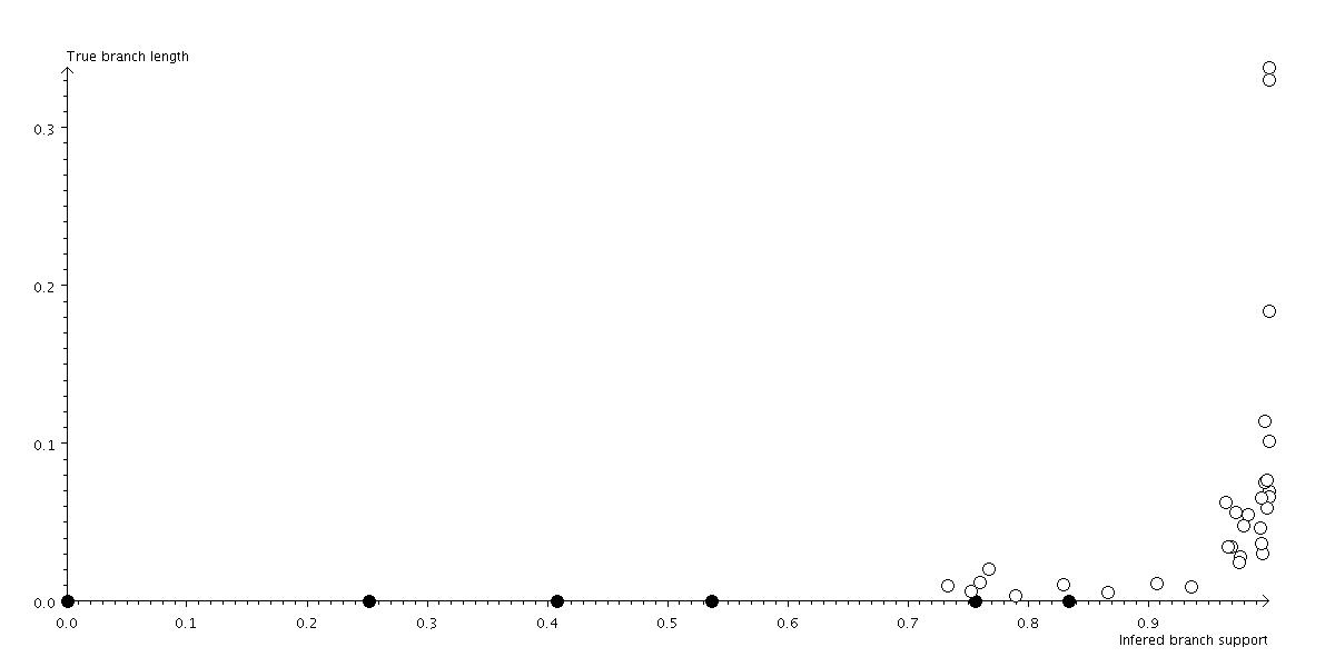
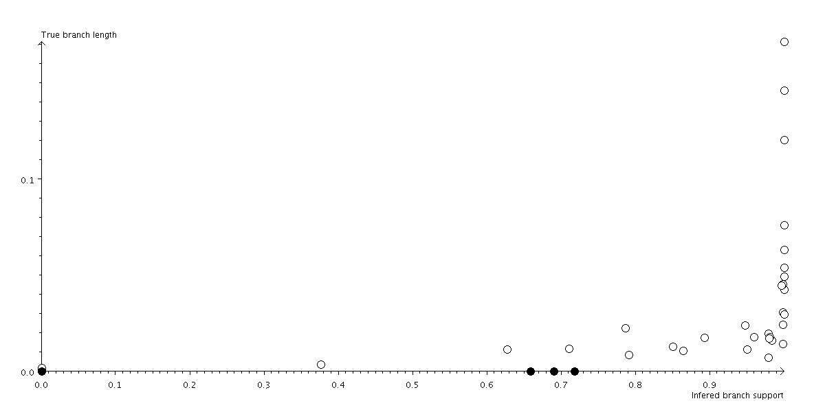
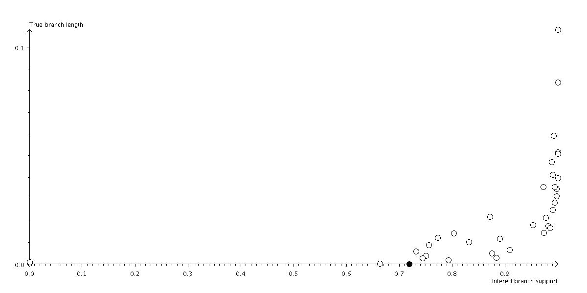
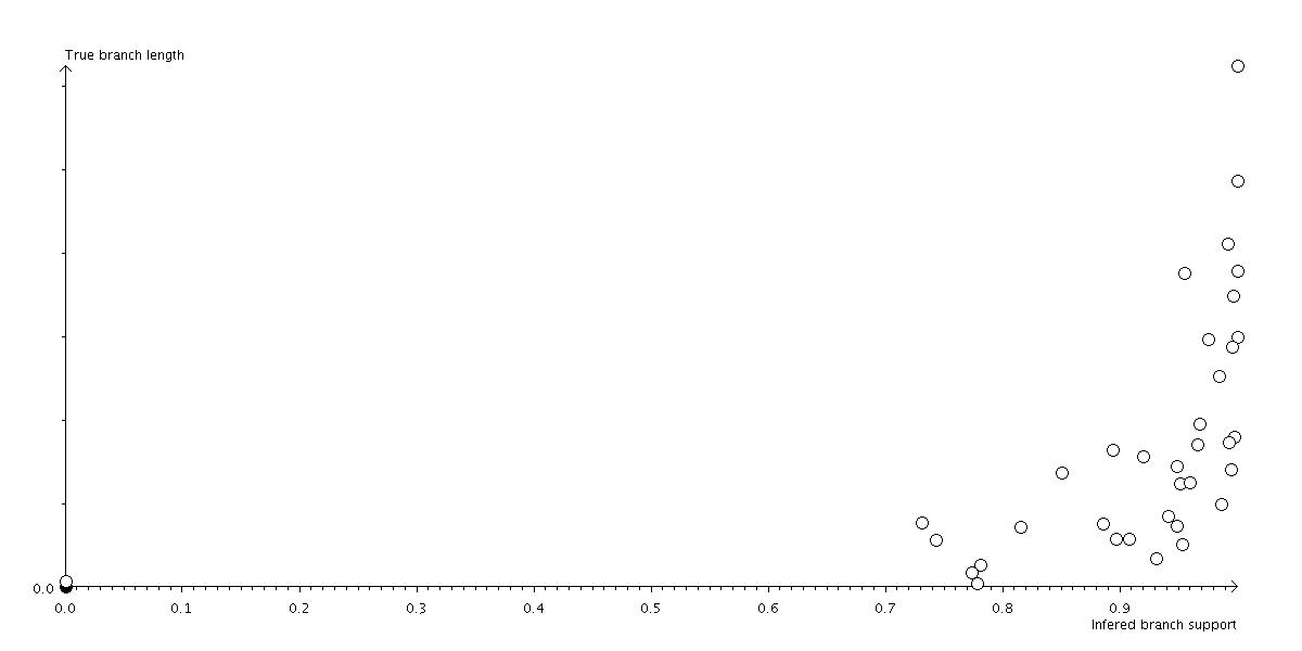
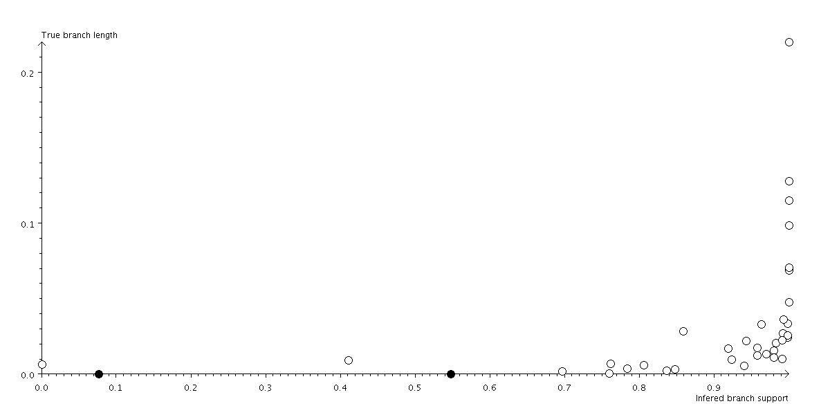
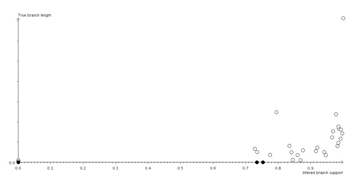
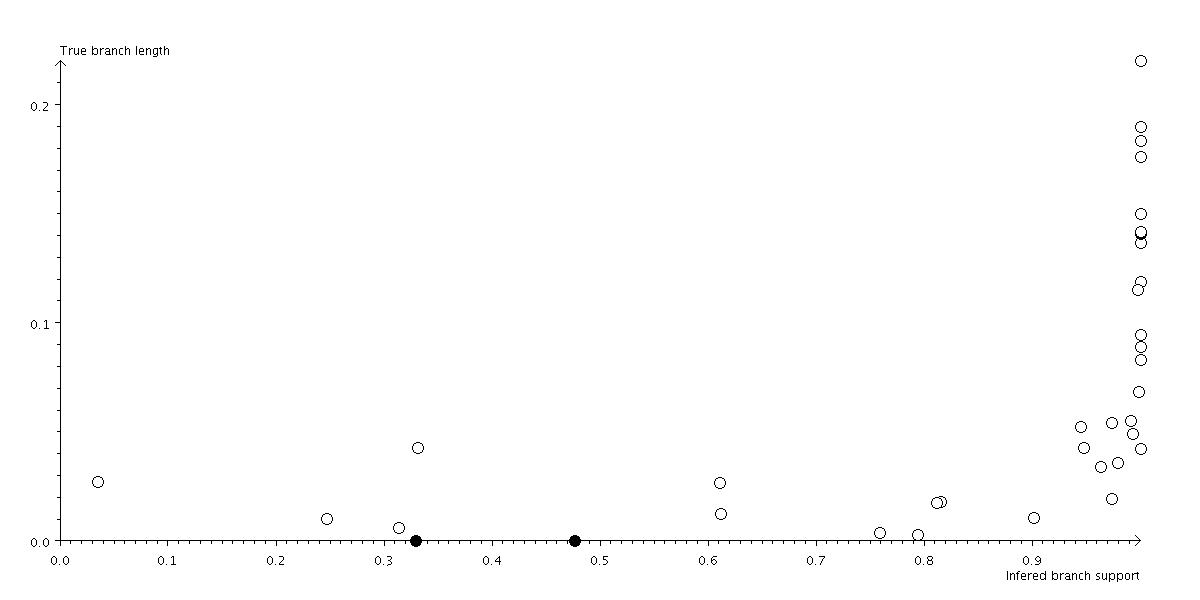
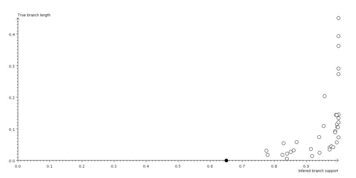
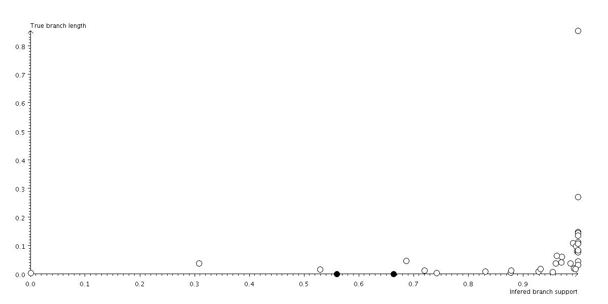
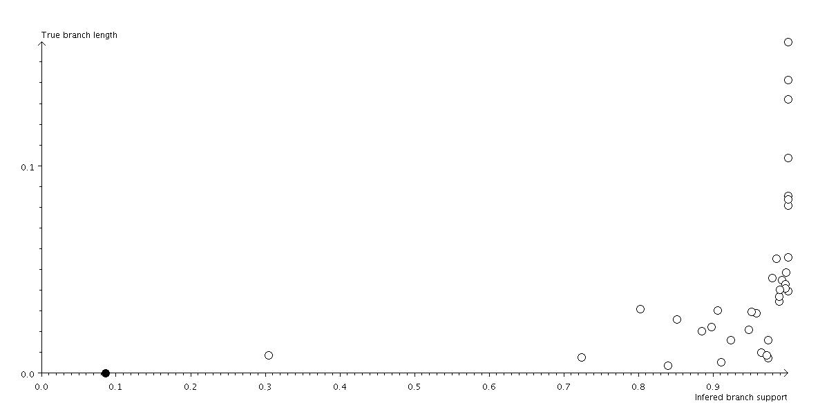
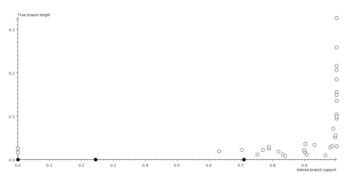
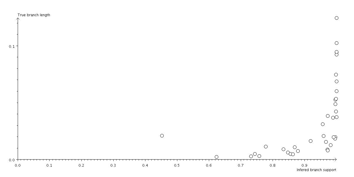
SUP : Branch support in inferred tree
LEN : Estimated branch length.
LENTRUE : True branch length.
LENTRUE=0 means that the branch does not exist in the true tree.
data1.phy
[
SH_GTR
-
Stats
] [
SH_HKY
-
Stats
] [
SH_HKY_NOGAMMA
-
Stats
] [
SH_JC
-
Stats
] [
SH_JC_NOGAMMA
-
Stats
]
data2.phy
[
SH_GTR
-
Stats
] [
SH_HKY
-
Stats
] [
SH_HKY_NOGAMMA
-
Stats
] [
SH_JC
-
Stats
] [
SH_JC_NOGAMMA
-
Stats
]
data3.phy
[
SH_GTR
-
Stats
] [
SH_HKY
-
Stats
] [
SH_HKY_NOGAMMA
-
Stats
] [
SH_JC
-
Stats
] [
SH_JC_NOGAMMA
-
Stats
]
data4.phy
[
SH_GTR
-
Stats
] [
SH_HKY
-
Stats
] [
SH_HKY_NOGAMMA
-
Stats
] [
SH_JC
-
Stats
] [
SH_JC_NOGAMMA
-
Stats
]
data5.phy
[
SH_GTR
-
Stats
] [
SH_HKY
-
Stats
] [
SH_HKY_NOGAMMA
-
Stats
] [
SH_JC
-
Stats
] [
SH_JC_NOGAMMA
-
Stats
]
data6.phy
[
SH_GTR
-
Stats
] [
SH_HKY
-
Stats
] [
SH_HKY_NOGAMMA
-
Stats
] [
SH_JC
-
Stats
] [
SH_JC_NOGAMMA
-
Stats
]
data7.phy
[
SH_GTR
-
Stats
] [
SH_HKY
-
Stats
] [
SH_HKY_NOGAMMA
-
Stats
] [
SH_JC
-
Stats
] [
SH_JC_NOGAMMA
-
Stats
]
data8.phy
[
SH_GTR
-
Stats
] [
SH_HKY
-
Stats
] [
SH_HKY_NOGAMMA
-
Stats
] [
SH_JC
-
Stats
] [
SH_JC_NOGAMMA
-
Stats
]
data9.phy
[
SH_GTR
-
Stats
] [
SH_HKY
-
Stats
] [
SH_HKY_NOGAMMA
-
Stats
] [
SH_JC
-
Stats
] [
SH_JC_NOGAMMA
-
Stats
]
data10.phy
[
SH_GTR
-
Stats
] [
SH_HKY
-
Stats
] [
SH_HKY_NOGAMMA
-
Stats
] [
SH_JC
-
Stats
] [
SH_JC_NOGAMMA
-
Stats
]
data11.phy
[
SH_GTR
-
Stats
] [
SH_HKY
-
Stats
] [
SH_HKY_NOGAMMA
-
Stats
] [
SH_JC
-
Stats
] [
SH_JC_NOGAMMA
-
Stats
]
data12.phy
[
SH_GTR
-
Stats
] [
SH_HKY
-
Stats
] [
SH_HKY_NOGAMMA
-
Stats
] [
SH_JC
-
Stats
] [
SH_JC_NOGAMMA
-
Stats
]
data13.phy
[
SH_GTR
-
Stats
] [
SH_HKY
-
Stats
] [
SH_HKY_NOGAMMA
-
Stats
] [
SH_JC
-
Stats
] [
SH_JC_NOGAMMA
-
Stats
]
data14.phy
[
SH_GTR
-
Stats
] [
SH_HKY
-
Stats
] [
SH_HKY_NOGAMMA
-
Stats
] [
SH_JC
-
Stats
] [
SH_JC_NOGAMMA
-
Stats
]
data15.phy
[
SH_GTR
-
Stats
] [
SH_HKY
-
Stats
] [
SH_HKY_NOGAMMA
-
Stats
] [
SH_JC
-
Stats
] [
SH_JC_NOGAMMA
-
Stats
]
data16.phy
[
SH_GTR
-
Stats
] [
SH_HKY
-
Stats
] [
SH_HKY_NOGAMMA
-
Stats
] [
SH_JC
-
Stats
] [
SH_JC_NOGAMMA
-
Stats
]
data17.phy
[
SH_GTR
-
Stats
] [
SH_HKY
-
Stats
] [
SH_HKY_NOGAMMA
-
Stats
] [
SH_JC
-
Stats
] [
SH_JC_NOGAMMA
-
Stats
]
data18.phy
[
SH_GTR
-
Stats
] [
SH_HKY
-
Stats
] [
SH_HKY_NOGAMMA
-
Stats
] [
SH_JC
-
Stats
] [
SH_JC_NOGAMMA
-
Stats
]
data19.phy
[
SH_GTR
-
Stats
] [
SH_HKY
-
Stats
] [
SH_HKY_NOGAMMA
-
Stats
] [
SH_JC
-
Stats
] [
SH_JC_NOGAMMA
-
Stats
]
data20.phy
[
SH_GTR
-
Stats
] [
SH_HKY
-
Stats
] [
SH_HKY_NOGAMMA
-
Stats
] [
SH_JC
-
Stats
] [
SH_JC_NOGAMMA
-
Stats
]
data21.phy
[
SH_GTR
-
Stats
] [
SH_HKY
-
Stats
] [
SH_HKY_NOGAMMA
-
Stats
] [
SH_JC
-
Stats
] [
SH_JC_NOGAMMA
-
Stats
]
data22.phy
[
SH_GTR
-
Stats
] [
SH_HKY
-
Stats
] [
SH_HKY_NOGAMMA
-
Stats
] [
SH_JC
-
Stats
] [
SH_JC_NOGAMMA
-
Stats
]
data23.phy
[
SH_GTR
-
Stats
] [
SH_HKY
-
Stats
] [
SH_HKY_NOGAMMA
-
Stats
] [
SH_JC
-
Stats
] [
SH_JC_NOGAMMA
-
Stats
]
data24.phy
[
SH_GTR
-
Stats
] [
SH_HKY
-
Stats
] [
SH_HKY_NOGAMMA
-
Stats
] [
SH_JC
-
Stats
] [
SH_JC_NOGAMMA
-
Stats
]
data25.phy
[
SH_GTR
-
Stats
] [
SH_HKY
-
Stats
] [
SH_HKY_NOGAMMA
-
Stats
] [
SH_JC
-
Stats
] [
SH_JC_NOGAMMA
-
Stats
]
data26.phy
[
SH_GTR
-
Stats
] [
SH_HKY
-
Stats
] [
SH_HKY_NOGAMMA
-
Stats
] [
SH_JC
-
Stats
] [
SH_JC_NOGAMMA
-
Stats
]
data27.phy
[
SH_GTR
-
Stats
] [
SH_HKY
-
Stats
] [
SH_HKY_NOGAMMA
-
Stats
] [
SH_JC
-
Stats
] [
SH_JC_NOGAMMA
-
Stats
]
data28.phy
[
SH_GTR
-
Stats
] [
SH_HKY
-
Stats
] [
SH_HKY_NOGAMMA
-
Stats
] [
SH_JC
-
Stats
] [
SH_JC_NOGAMMA
-
Stats
]
data29.phy
[
SH_GTR
-
Stats
] [
SH_HKY
-
Stats
] [
SH_HKY_NOGAMMA
-
Stats
] [
SH_JC
-
Stats
] [
SH_JC_NOGAMMA
-
Stats
]
data30.phy
[
SH_GTR
-
Stats
] [
SH_HKY
-
Stats
] [
SH_HKY_NOGAMMA
-
Stats
] [
SH_JC
-
Stats
] [
SH_JC_NOGAMMA
-
Stats
]
data31.phy
[
SH_GTR
-
Stats
] [
SH_HKY
-
Stats
] [
SH_HKY_NOGAMMA
-
Stats
] [
SH_JC
-
Stats
] [
SH_JC_NOGAMMA
-
Stats
]
data32.phy
[
SH_GTR
-
Stats
] [
SH_HKY
-
Stats
] [
SH_HKY_NOGAMMA
-
Stats
] [
SH_JC
-
Stats
] [
SH_JC_NOGAMMA
-
Stats
]
data33.phy
[
SH_GTR
-
Stats
] [
SH_HKY
-
Stats
] [
SH_HKY_NOGAMMA
-
Stats
] [
SH_JC
-
Stats
] [
SH_JC_NOGAMMA
-
Stats
]
data34.phy
[
SH_GTR
-
Stats
] [
SH_HKY
-
Stats
] [
SH_HKY_NOGAMMA
-
Stats
] [
SH_JC
-
Stats
] [
SH_JC_NOGAMMA
-
Stats
]
data35.phy
[
SH_GTR
-
Stats
] [
SH_HKY
-
Stats
] [
SH_HKY_NOGAMMA
-
Stats
] [
SH_JC
-
Stats
] [
SH_JC_NOGAMMA
-
Stats
]
data36.phy
[
SH_GTR
-
Stats
] [
SH_HKY
-
Stats
] [
SH_HKY_NOGAMMA
-
Stats
] [
SH_JC
-
Stats
] [
SH_JC_NOGAMMA
-
Stats
]
data37.phy
[
SH_GTR
-
Stats
] [
SH_HKY
-
Stats
] [
SH_HKY_NOGAMMA
-
Stats
] [
SH_JC
-
Stats
] [
SH_JC_NOGAMMA
-
Stats
]
data38.phy
[
SH_GTR
-
Stats
] [
SH_HKY
-
Stats
] [
SH_HKY_NOGAMMA
-
Stats
] [
SH_JC
-
Stats
] [
SH_JC_NOGAMMA
-
Stats
]
data39.phy
[
SH_GTR
-
Stats
] [
SH_HKY
-
Stats
] [
SH_HKY_NOGAMMA
-
Stats
] [
SH_JC
-
Stats
] [
SH_JC_NOGAMMA
-
Stats
]
data40.phy
[
SH_GTR
-
Stats
] [
SH_HKY
-
Stats
] [
SH_HKY_NOGAMMA
-
Stats
] [
SH_JC
-
Stats
] [
SH_JC_NOGAMMA
-
Stats
]
data41.phy
[
SH_GTR
-
Stats
] [
SH_HKY
-
Stats
] [
SH_HKY_NOGAMMA
-
Stats
] [
SH_JC
-
Stats
] [
SH_JC_NOGAMMA
-
Stats
]
data42.phy
[
SH_GTR
-
Stats
] [
SH_HKY
-
Stats
] [
SH_HKY_NOGAMMA
-
Stats
] [
SH_JC
-
Stats
] [
SH_JC_NOGAMMA
-
Stats
]
data43.phy
[
SH_GTR
-
Stats
] [
SH_HKY
-
Stats
] [
SH_HKY_NOGAMMA
-
Stats
] [
SH_JC
-
Stats
] [
SH_JC_NOGAMMA
-
Stats
]
data44.phy
[
SH_GTR
-
Stats
] [
SH_HKY
-
Stats
] [
SH_HKY_NOGAMMA
-
Stats
] [
SH_JC
-
Stats
] [
SH_JC_NOGAMMA
-
Stats
]
data45.phy
[
SH_GTR
-
Stats
] [
SH_HKY
-
Stats
] [
SH_HKY_NOGAMMA
-
Stats
] [
SH_JC
-
Stats
] [
SH_JC_NOGAMMA
-
Stats
]
data46.phy
[
SH_GTR
-
Stats
] [
SH_HKY
-
Stats
] [
SH_HKY_NOGAMMA
-
Stats
] [
SH_JC
-
Stats
] [
SH_JC_NOGAMMA
-
Stats
]
data47.phy
[
SH_GTR
-
Stats
] [
SH_HKY
-
Stats
] [
SH_HKY_NOGAMMA
-
Stats
] [
SH_JC
-
Stats
] [
SH_JC_NOGAMMA
-
Stats
]
data48.phy
[
SH_GTR
-
Stats
] [
SH_HKY
-
Stats
] [
SH_HKY_NOGAMMA
-
Stats
] [
SH_JC
-
Stats
] [
SH_JC_NOGAMMA
-
Stats
]
data49.phy
[
SH_GTR
-
Stats
] [
SH_HKY
-
Stats
] [
SH_HKY_NOGAMMA
-
Stats
] [
SH_JC
-
Stats
] [
SH_JC_NOGAMMA
-
Stats
]
data50.phy
[
SH_GTR
-
Stats
] [
SH_HKY
-
Stats
] [
SH_HKY_NOGAMMA
-
Stats
] [
SH_JC
-
Stats
] [
SH_JC_NOGAMMA
-
Stats
]
data51.phy
[
SH_GTR
-
Stats
] [
SH_HKY
-
Stats
] [
SH_HKY_NOGAMMA
-
Stats
] [
SH_JC
-
Stats
] [
SH_JC_NOGAMMA
-
Stats
]
data52.phy
[
SH_GTR
-
Stats
] [
SH_HKY
-
Stats
] [
SH_HKY_NOGAMMA
-
Stats
] [
SH_JC
-
Stats
] [
SH_JC_NOGAMMA
-
Stats
]
data53.phy
[
SH_GTR
-
Stats
] [
SH_HKY
-
Stats
] [
SH_HKY_NOGAMMA
-
Stats
] [
SH_JC
-
Stats
] [
SH_JC_NOGAMMA
-
Stats
]
data54.phy
[
SH_GTR
-
Stats
] [
SH_HKY
-
Stats
] [
SH_HKY_NOGAMMA
-
Stats
] [
SH_JC
-
Stats
] [
SH_JC_NOGAMMA
-
Stats
]
data55.phy
[
SH_GTR
-
Stats
] [
SH_HKY
-
Stats
] [
SH_HKY_NOGAMMA
-
Stats
] [
SH_JC
-
Stats
] [
SH_JC_NOGAMMA
-
Stats
]
data56.phy
[
SH_GTR
-
Stats
] [
SH_HKY
-
Stats
] [
SH_HKY_NOGAMMA
-
Stats
] [
SH_JC
-
Stats
] [
SH_JC_NOGAMMA
-
Stats
]
data57.phy
[
SH_GTR
-
Stats
] [
SH_HKY
-
Stats
] [
SH_HKY_NOGAMMA
-
Stats
] [
SH_JC
-
Stats
] [
SH_JC_NOGAMMA
-
Stats
]
data58.phy
[
SH_GTR
-
Stats
] [
SH_HKY
-
Stats
] [
SH_HKY_NOGAMMA
-
Stats
] [
SH_JC
-
Stats
] [
SH_JC_NOGAMMA
-
Stats
]
data59.phy
[
SH_GTR
-
Stats
] [
SH_HKY
-
Stats
] [
SH_HKY_NOGAMMA
-
Stats
] [
SH_JC
-
Stats
] [
SH_JC_NOGAMMA
-
Stats
]
data60.phy
[
SH_GTR
-
Stats
] [
SH_HKY
-
Stats
] [
SH_HKY_NOGAMMA
-
Stats
] [
SH_JC
-
Stats
] [
SH_JC_NOGAMMA
-
Stats
]
data61.phy
[
SH_GTR
-
Stats
] [
SH_HKY
-
Stats
] [
SH_HKY_NOGAMMA
-
Stats
] [
SH_JC
-
Stats
] [
SH_JC_NOGAMMA
-
Stats
]
data62.phy
[
SH_GTR
-
Stats
] [
SH_HKY
-
Stats
] [
SH_HKY_NOGAMMA
-
Stats
] [
SH_JC
-
Stats
] [
SH_JC_NOGAMMA
-
Stats
]
data63.phy
[
SH_GTR
-
Stats
] [
SH_HKY
-
Stats
] [
SH_HKY_NOGAMMA
-
Stats
] [
SH_JC
-
Stats
] [
SH_JC_NOGAMMA
-
Stats
]
data64.phy
[
SH_GTR
-
Stats
] [
SH_HKY
-
Stats
] [
SH_HKY_NOGAMMA
-
Stats
] [
SH_JC
-
Stats
] [
SH_JC_NOGAMMA
-
Stats
]
data65.phy
[
SH_GTR
-
Stats
] [
SH_HKY
-
Stats
] [
SH_HKY_NOGAMMA
-
Stats
] [
SH_JC
-
Stats
] [
SH_JC_NOGAMMA
-
Stats
]
data66.phy
[
SH_GTR
-
Stats
] [
SH_HKY
-
Stats
] [
SH_HKY_NOGAMMA
-
Stats
] [
SH_JC
-
Stats
] [
SH_JC_NOGAMMA
-
Stats
]
data67.phy
[
SH_GTR
-
Stats
] [
SH_HKY
-
Stats
] [
SH_HKY_NOGAMMA
-
Stats
] [
SH_JC
-
Stats
] [
SH_JC_NOGAMMA
-
Stats
]
data68.phy
[
SH_GTR
-
Stats
] [
SH_HKY
-
Stats
] [
SH_HKY_NOGAMMA
-
Stats
] [
SH_JC
-
Stats
] [
SH_JC_NOGAMMA
-
Stats
]
data69.phy
[
SH_GTR
-
Stats
] [
SH_HKY
-
Stats
] [
SH_HKY_NOGAMMA
-
Stats
] [
SH_JC
-
Stats
] [
SH_JC_NOGAMMA
-
Stats
]
data70.phy
[
SH_GTR
-
Stats
] [
SH_HKY
-
Stats
] [
SH_HKY_NOGAMMA
-
Stats
] [
SH_JC
-
Stats
] [
SH_JC_NOGAMMA
-
Stats
]
data71.phy
[
SH_GTR
-
Stats
] [
SH_HKY
-
Stats
] [
SH_HKY_NOGAMMA
-
Stats
] [
SH_JC
-
Stats
] [
SH_JC_NOGAMMA
-
Stats
]
data72.phy
[
SH_GTR
-
Stats
] [
SH_HKY
-
Stats
] [
SH_HKY_NOGAMMA
-
Stats
] [
SH_JC
-
Stats
] [
SH_JC_NOGAMMA
-
Stats
]
data73.phy
[
SH_GTR
-
Stats
] [
SH_HKY
-
Stats
] [
SH_HKY_NOGAMMA
-
Stats
] [
SH_JC
-
Stats
] [
SH_JC_NOGAMMA
-
Stats
]
data74.phy
[
SH_GTR
-
Stats
] [
SH_HKY
-
Stats
] [
SH_HKY_NOGAMMA
-
Stats
] [
SH_JC
-
Stats
] [
SH_JC_NOGAMMA
-
Stats
]
data75.phy
[
SH_GTR
-
Stats
] [
SH_HKY
-
Stats
] [
SH_HKY_NOGAMMA
-
Stats
] [
SH_JC
-
Stats
] [
SH_JC_NOGAMMA
-
Stats
]
data76.phy
[
SH_GTR
-
Stats
] [
SH_HKY
-
Stats
] [
SH_HKY_NOGAMMA
-
Stats
] [
SH_JC
-
Stats
] [
SH_JC_NOGAMMA
-
Stats
]
data77.phy
[
SH_GTR
-
Stats
] [
SH_HKY
-
Stats
] [
SH_HKY_NOGAMMA
-
Stats
] [
SH_JC
-
Stats
] [
SH_JC_NOGAMMA
-
Stats
]
data78.phy
[
SH_GTR
-
Stats
] [
SH_HKY
-
Stats
] [
SH_HKY_NOGAMMA
-
Stats
] [
SH_JC
-
Stats
] [
SH_JC_NOGAMMA
-
Stats
]
data79.phy
[
SH_GTR
-
Stats
] [
SH_HKY
-
Stats
] [
SH_HKY_NOGAMMA
-
Stats
] [
SH_JC
-
Stats
] [
SH_JC_NOGAMMA
-
Stats
]
data80.phy
[
SH_GTR
-
Stats
] [
SH_HKY
-
Stats
] [
SH_HKY_NOGAMMA
-
Stats
] [
SH_JC
-
Stats
] [
SH_JC_NOGAMMA
-
Stats
]
data81.phy
[
SH_GTR
-
Stats
] [
SH_HKY
-
Stats
] [
SH_HKY_NOGAMMA
-
Stats
] [
SH_JC
-
Stats
] [
SH_JC_NOGAMMA
-
Stats
]
data82.phy
[
SH_GTR
-
Stats
] [
SH_HKY
-
Stats
] [
SH_HKY_NOGAMMA
-
Stats
] [
SH_JC
-
Stats
] [
SH_JC_NOGAMMA
-
Stats
]
data83.phy
[
SH_GTR
-
Stats
] [
SH_HKY
-
Stats
] [
SH_HKY_NOGAMMA
-
Stats
] [
SH_JC
-
Stats
] [
SH_JC_NOGAMMA
-
Stats
]
data84.phy
[
SH_GTR
-
Stats
] [
SH_HKY
-
Stats
] [
SH_HKY_NOGAMMA
-
Stats
] [
SH_JC
-
Stats
] [
SH_JC_NOGAMMA
-
Stats
]
data85.phy
[
SH_GTR
-
Stats
] [
SH_HKY
-
Stats
] [
SH_HKY_NOGAMMA
-
Stats
] [
SH_JC
-
Stats
] [
SH_JC_NOGAMMA
-
Stats
]
data86.phy
[
SH_GTR
-
Stats
] [
SH_HKY
-
Stats
] [
SH_HKY_NOGAMMA
-
Stats
] [
SH_JC
-
Stats
] [
SH_JC_NOGAMMA
-
Stats
]
data87.phy
[
SH_GTR
-
Stats
] [
SH_HKY
-
Stats
] [
SH_HKY_NOGAMMA
-
Stats
] [
SH_JC
-
Stats
] [
SH_JC_NOGAMMA
-
Stats
]
data88.phy
[
SH_GTR
-
Stats
] [
SH_HKY
-
Stats
] [
SH_HKY_NOGAMMA
-
Stats
] [
SH_JC
-
Stats
] [
SH_JC_NOGAMMA
-
Stats
]
data89.phy
[
SH_GTR
-
Stats
] [
SH_HKY
-
Stats
] [
SH_HKY_NOGAMMA
-
Stats
] [
SH_JC
-
Stats
] [
SH_JC_NOGAMMA
-
Stats
]
data90.phy
[
SH_GTR
-
Stats
] [
SH_HKY
-
Stats
] [
SH_HKY_NOGAMMA
-
Stats
] [
SH_JC
-
Stats
] [
SH_JC_NOGAMMA
-
Stats
]
data91.phy
[
SH_GTR
-
Stats
] [
SH_HKY
-
Stats
] [
SH_HKY_NOGAMMA
-
Stats
] [
SH_JC
-
Stats
] [
SH_JC_NOGAMMA
-
Stats
]
data92.phy
[
SH_GTR
-
Stats
] [
SH_HKY
-
Stats
] [
SH_HKY_NOGAMMA
-
Stats
] [
SH_JC
-
Stats
] [
SH_JC_NOGAMMA
-
Stats
]
data93.phy
[
SH_GTR
-
Stats
] [
SH_HKY
-
Stats
] [
SH_HKY_NOGAMMA
-
Stats
] [
SH_JC
-
Stats
] [
SH_JC_NOGAMMA
-
Stats
]
data94.phy
[
SH_GTR
-
Stats
] [
SH_HKY
-
Stats
] [
SH_HKY_NOGAMMA
-
Stats
] [
SH_JC
-
Stats
] [
SH_JC_NOGAMMA
-
Stats
]
data95.phy
[
SH_GTR
-
Stats
] [
SH_HKY
-
Stats
] [
SH_HKY_NOGAMMA
-
Stats
] [
SH_JC
-
Stats
] [
SH_JC_NOGAMMA
-
Stats
]
data96.phy
[
SH_GTR
-
Stats
] [
SH_HKY
-
Stats
] [
SH_HKY_NOGAMMA
-
Stats
] [
SH_JC
-
Stats
] [
SH_JC_NOGAMMA
-
Stats
]
data97.phy
[
SH_GTR
-
Stats
] [
SH_HKY
-
Stats
] [
SH_HKY_NOGAMMA
-
Stats
] [
SH_JC
-
Stats
] [
SH_JC_NOGAMMA
-
Stats
]
data98.phy
[
SH_GTR
-
Stats
] [
SH_HKY
-
Stats
] [
SH_HKY_NOGAMMA
-
Stats
] [
SH_JC
-
Stats
] [
SH_JC_NOGAMMA
-
Stats
]
data99.phy
[
SH_GTR
-
Stats
] [
SH_HKY
-
Stats
] [
SH_HKY_NOGAMMA
-
Stats
] [
SH_JC
-
Stats
] [
SH_JC_NOGAMMA
-
Stats
]
data100.phy
[
SH_GTR
-
Stats
] [
SH_HKY
-
Stats
] [
SH_HKY_NOGAMMA
-
Stats
] [
SH_JC
-
Stats
] [
SH_JC_NOGAMMA
-
Stats
]
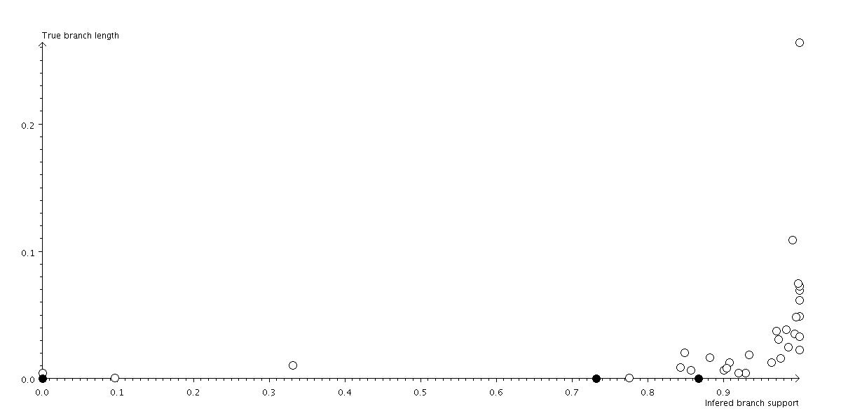
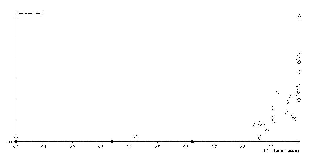
SH_GTR
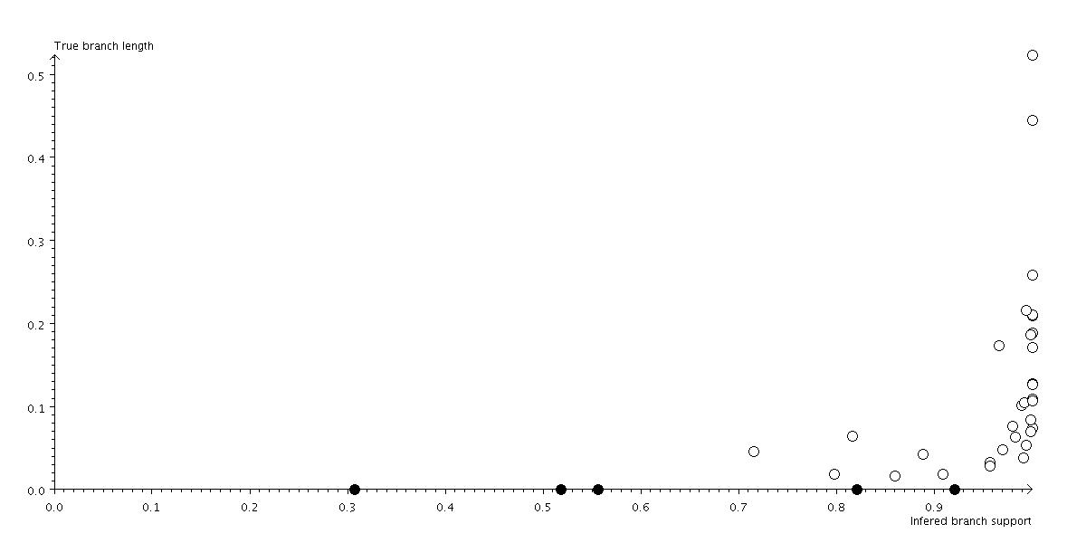
367 not existing branches with an average support of 0.332
3333 existing branches with an average support of 0.897
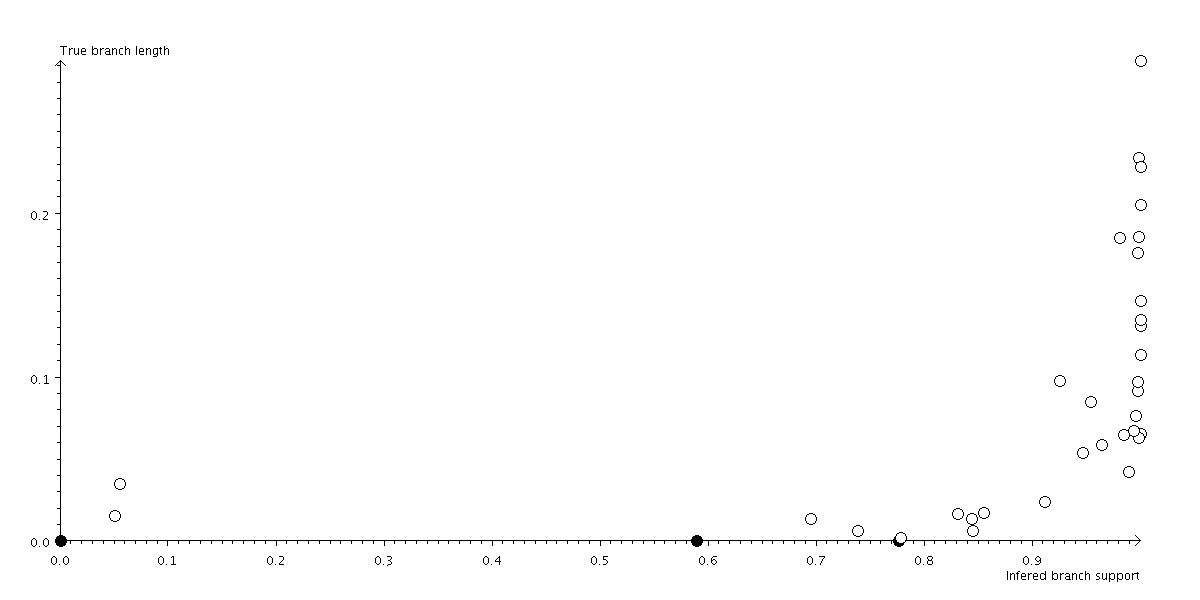
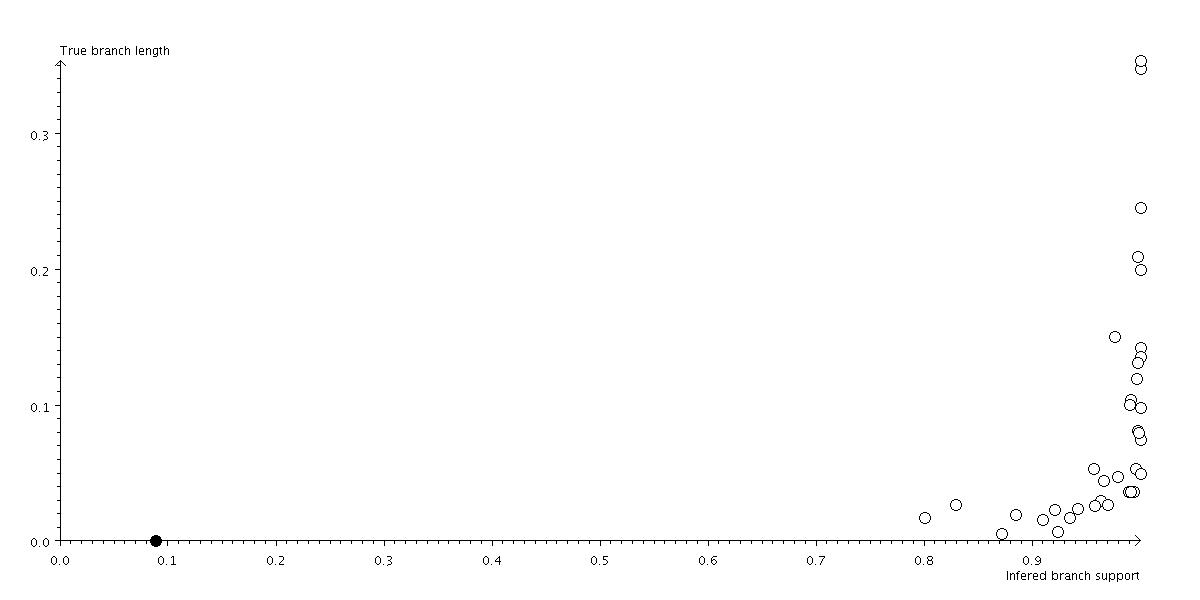
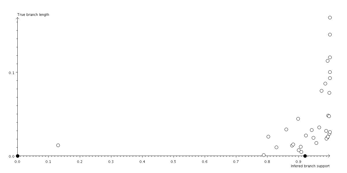
SH_HKY
368 not existing branches with an average support of 0.325
3332 existing branches with an average support of 0.896
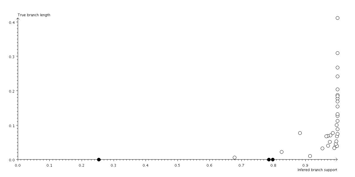
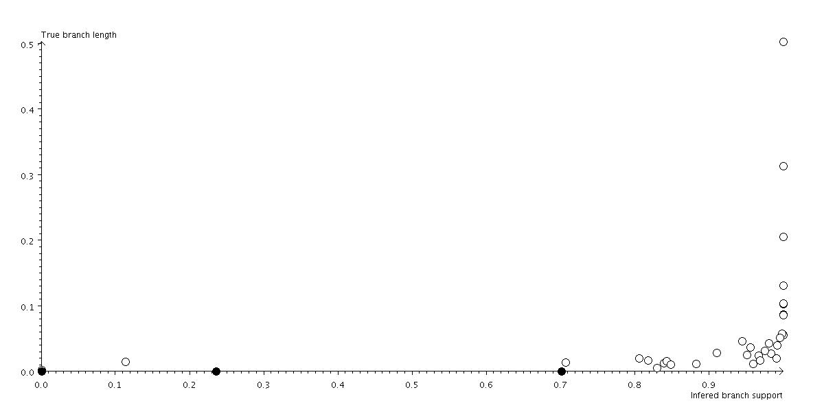
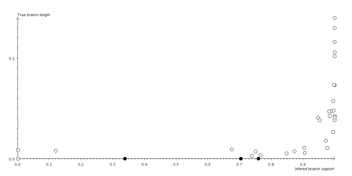
SH_HKY_NOGAMMA
378 not existing branches with an average support of 0.431
3322 existing branches with an average support of 0.911
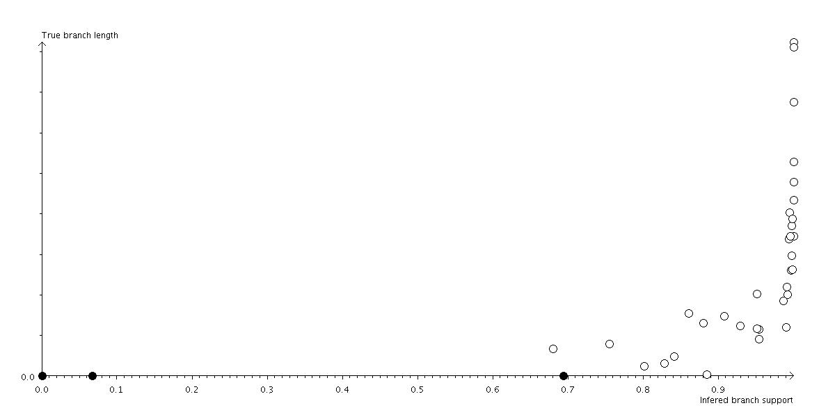
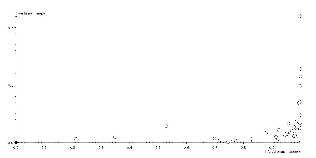
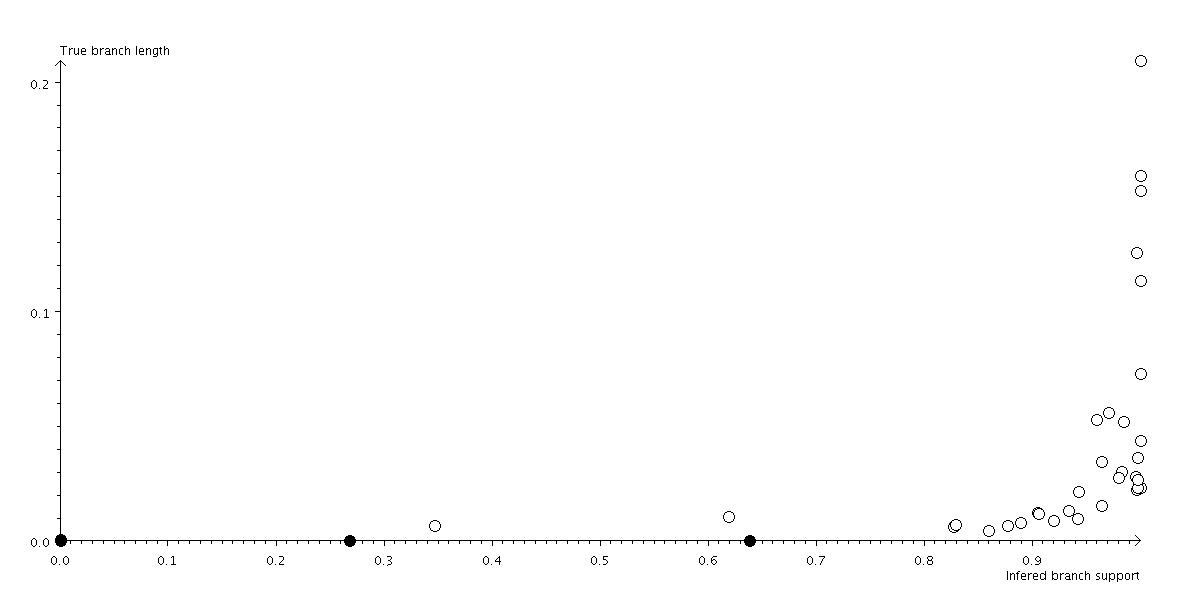
SH_JC
390 not existing branches with an average support of 0.442
3310 existing branches with an average support of 0.913
SH_JC_NOGAMMA
398 not existing branches with an average support of 0.43
3302 existing branches with an average support of 0.915